Aminocarb

Aminocarb
Names
Preferred IUPAC name
4-(Dimethylamino)-3-methylphenyl methylcarbamate
Other names
4-Dimethylamino-3-methylphenyl, N-Methylcarbamate
Identifiers
3D model (JSmol)
2808681
ChEBI
ChemSpider
ECHA InfoCard 100.016.356
EC Number
  • 217-990-7
RTECS number
  • FC0175000
UNII
UN number 2811
  • InChI=1S/C11H16N2O2/c1-8-7-9(15-11(14)12-2)5-6-10(8)13(3)4/h5-7H,1-4H3,(H,12,14)
  • Cc1cc(ccc1N(C)C)N(C)C([O-])=O
Properties
C11H16N2O2
Molar mass 208.261 g·mol−1
Appearance White crystalline solid or tan crystals
Melting point 95.0 °C (203.0 °F; 368.1 K)
Boiling point 298 °C (568 °F; 571 K)
Soluble
Solubility in other solvents Soluble in polar org solvents; moderately soluble in aromatic solvents
Vapor pressure 1.88 X 10-6 mm Hg
5.64 X 10-10 atm cu m/mole
Hazards
Occupational safety and health (OHS/OSH):
Main hazards
Maybe highly toxic by ingestion, toxic by skin absorption
GHS labelling:
GHS09: Environmental hazard GHS06: Toxic
Danger
H301, H311, H400, H411[1]
P264, P273, P280, P301+P310, P312
NFPA 704 (fire diamond)
NFPA 704 four-colored diamondHealth 2: Intense or continued but not chronic exposure could cause temporary incapacitation or possible residual injury. E.g. chloroformFlammability 1: Must be pre-heated before ignition can occur. Flash point over 93 °C (200 °F). E.g. canola oilInstability 0: Normally stable, even under fire exposure conditions, and is not reactive with water. E.g. liquid nitrogenSpecial hazards (white): no code
2
1
0
Flash point 181 °C (358 °F; 454 K)
Lethal dose or concentration (LD, LC):
Oral-rat-30 mg/kg and Dermal-rat-275 mg/kg
Safety data sheet (SDS) [1]
Related compounds
Except where otherwise noted, data are given for materials in their standard state (at 25 °C [77 °F], 100 kPa).
Infobox references

Animocarb (Matacil) is an organic chemical compound with the molecular formula C11H16N2O2. It has a colorless or white crystal-like appearance and is most commonly used as an insecticide.[2]

History

Aminocarb has been extensively used in eastern Canada since 1976 in order to control the spruce budworm. The fate of this chemical in the ecosystem and detection of aminocarb was studied by the use of two-dimensional thin-layer chromatography. The use of thin-layer chromatography helped isolate and identify the methyl amino, amino and hydroxymethyl analogues from the in vitro metabolism of aminocarb by liver homogenates from humans and rats.[3]

Production and uses

Aminocarb is a carbamate insecticide widely used to protect cotton fields, crop fields, and forests from insect infestation. It helps in the control of aphids, soil mollusks, lepidopterous larvae, and other types of chewing insects. It is most commonly administered as an aerosol spray.[4][5]

Reactions

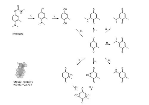
Aminocarb can be degraded through irradiation and hydrolysis.

Hydrolysis of aminocarb[6]

Irradiation

Aminocarb can be broken down by short-wave ultraviolet radiation.[7] Irradiation is often carried out by a high pressure xenon-mercury lamp.[8] Irradiating aminocarb in ethyl alcohol and cyclohexene solutions initially causes the oxidation of the dimethylamine moiety.[7][9] The process eventually leads to the formation of a 4-dimethylamino-3-methyl phenol product.[9]

Hydrolysis

Aminocarb undergoes hydrolysis to 4-dimethylamino-3-methylphenol in 25 °C purified water when pH of the water is 6.4. 4-dimethylamino-3-methylphenol is then either directly or via 2-methyl-1,4-dihydorquinone converted to 2-methyl-1,4-benzoquinone. If methylamine or diethylamine are present in the solution 2-methyl-1,4-benzoquinone will readily react. Monoepoxides and diepoxides of 2-methyl-1,4-benzoquinone are formed.[6]

Biomedical effects

In an experiment where young brown bullhead were exposed to aminocarb at lethal and sublethal concentrations, their tissue distribution was examined and showed that the concentration of residues in each tissue increased with the concentration of exposure of aminocarb. The liver and stomach/intestine had the highest amount of accumulation of residues.[10]

Aminocarb is also known as a cholinesterase inhibitor that has nervous system effects causing convulsions and respiratory failure. It can also be absorbed through the skin, causing long-term effects to the nervous system and liver.[11]

References

  1. ^ "Aminocarb safety and hazards". pubchem.ncbi.nlm.nih.gov. Retrieved 2022-12-02.
  2. ^ Montgomery, John Harold (1993). "Aminocarb". Agrochemicals Desk Reference: Environmental Data. CRC Press. pp. 21–2. ISBN 978-0-87371-738-0.
  3. ^ Sundaram, K.M.S.; Szeto, S.Y.; Hindle, R. (1980). "Detection of aminocarb and its major metabolites by thin-layer chromatography". Journal of Chromatography A. 194 (1): 100–3. doi:10.1016/S0021-9673(00)81057-2. PMID 7391210.
  4. ^ Sundaram, Kanth M. S.; Sundaram, Alam (1987). "Role of Formulation Ingredients and Physical Properties on Droplet Size Spectra, Deposition, and Persistence of Aerially Sprayed Aminocrab and Mexacarbate in Forest Litter and Soil Samples". Pesticide Formulations and Application Systems. 7 (986): 139–51. ISBN 978-0-8031-0970-4.
  5. ^ Dikshith, T. S. S (2010). "Aminocarb (CAS No. 2032-59-9)". Handbook of Chemicals and Safety. CRC Press. p. 76. ISBN 978-1-4398-2060-5.
  6. ^ a b Aizawa, Hiroyasu (2001). "Carbamates". Metabolic Maps. pp. 74–81. doi:10.1016/B978-012045605-5/50007-6. ISBN 978-0-12-045605-5.
  7. ^ a b FAO plant production and protection papers. Food and Agriculture Organization of the United Nations. 1976. ISBN 978-92-5-100922-2.
  8. ^ Kamrin, Michael A.; Montgomery, John H. (1999-10-28). Agrochemical and Pesticide Desk Reference on CD-ROM. CRC Press. ISBN 978-0-8493-2179-5.
  9. ^ a b Kamin, Michael A.; Montgomery, John H (1999-09-01). Agrochemical and Pesticide Desk Reference on CD-ROM: Crcnetbase. CRC Press. ISBN 978-0-8493-2179-5.
  10. ^ Richardson, GM; Qadri, SU (1986). "Tissue distribution of 14C-labeled residues of aminocarb in brown bullhead (Ictalurus nebulosus Le Sueur) following acute exposure". Ecotoxicology and Environmental Safety. 12 (2): 180–6. Bibcode:1986EcoES..12..180R. doi:10.1016/0147-6513(86)90055-2. PMID 3792270.
  11. ^ "Aminocarb". U.S. National Library of Medicine. Archived from the original on 2013-03-02. Retrieved 2012-10-27.