Lexitropsin

Two groups of lexitropsins
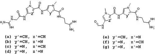
Structures of semi-synthetic lexitropsin analogues

Lexitropsins are members of a family of semi-synthetic DNA-binding ligands.[1] They are structural analogs of the natural antibiotics netropsin and distamycin. Antibiotics of this group can bind in the minor groove of DNA with different sequence-selectivity.[2][3] Lexitropsins form a complexes with DNA with stoichiometry 1:1 and 2:1. Based on the 2:1 complexes were obtained ligands with high sequence-selectivity.[4] This property is due to their selectivity towards AT-rich regions.[5]

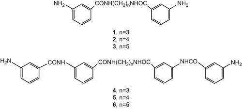
Synthetic carbocyclic analogues synthesised by Drozdowska et. al[6]

Recently, carbocyclic derivatives based on pentamidine were shown to exhibit in vivo antiproliferative effects on human breast cancer cells, possibly because of their ability to inhibit topoisomerase activity.[7][5][8]

See also

References

  1. ^ Sondhi S.M.; Praveen Reddy B.S.; Lown J.W. (1997). "Lexitropsin conjugates: Action on DNA targets". Current Medicinal Chemistry. 4 (5): 313–358. doi:10.2174/0929867304666220313122616. S2CID 247445486.
  2. ^ Goodsell, D.S.; Ng, H.L.; Kopka, M.L.; Lown, J.W.; Dickerson, R.E. (1995). "Structure of a dicationic monoimidazole lexitropsin bound to DNA". Biochemistry. 34 (51): 16654–61. doi:10.1021/bi00051a013. PMID 8527438.
  3. ^ Goodsell, D.S. (2001). "Sequence recognition of DNA by lexitropsins". Curr Med Chem. 8 (5): 509–16. doi:10.2174/0929867003373319. PMID 11281838.
  4. ^ Kopka, M.L.; Goodsell, D.S.; Han, G. Won; Chiu, Th.K.; Lown, J.W.; Dickerson, R.E. (1997). "Defining GC-specificity in the minor groove: side-by-side binding of the di-imidazole lexitropsin to C-A-T-G-G-C-C-A-T-G". Structure. 5 (8): 1033–1046. doi:10.1016/s0969-2126(97)00255-4. PMID 9309219.
  5. ^ a b Drozdowska, Danuta; Bruzgo, Irena; Midura-Nowaczek, Krystyna (2010-10-01). "Carbocyclic potential DNA minor groove binders and their biological evaluation". Journal of Enzyme Inhibition and Medicinal Chemistry. 25 (5): 629–634. doi:10.3109/14756360903389872. ISSN 1475-6366. PMID 20429779.
  6. ^ Drozdowska, Danuta; Bruzgo, Irena; Midura-Nowaczek, Krystyna (2010-10-01). "Carbocyclic potential DNA minor groove binders and their biological evaluation". Journal of Enzyme Inhibition and Medicinal Chemistry. 25 (5): 629–634. doi:10.3109/14756360903389872. ISSN 1475-6366. PMID 20429779.
  7. ^ Arciszewska, Karolina; Pućkowska, Anna; Wróbel, Agnieszka; Drozdowska, Danuta (2018-12-06). "Carbocyclic Analogues of Distamycin and Netropsin". Mini-Reviews in Medicinal Chemistry. 19 (2): 98–113. doi:10.2174/1389557518666181009143203. PMID 30626311.
  8. ^ Drozdowska, Danuta; Rusak, Malgorzata; Miltyk, Wojciech; Midura-Nowaczek, Krystyna (2009). "Synthesis and Biological Evaluation of Distamycin Analogues – New Potential Anticancer Agents". Archiv der Pharmazie. 342 (2): 87–93. doi:10.1002/ardp.200800122. ISSN 1521-4184. PMID 19173336.