Organic molecular cages

Organic molecular cages represent a unique class of porous materials characterized by their discrete molecular nature and well-defined internal cavities, formed through covalent bonds between precisely designed organic building blocks.[1][2] These molecular structures contain organized frameworks surrounding a central cavity, where organic components are precisely arranged to create functional internal spaces. Unlike extended networks such as metal-organic frameworks (MOFs) and covalent organic frameworks (COFs),[3] these cage compounds exist as distinct molecular entities, offering advantages in solution processability and structural precision.[4][5]

MOF-177 single organic cage

The field of organic molecular cages emerged in the early 2000s, pioneered by the work of Cram, Lehn, and Pedersen, whose foundational research on host-guest chemistry and molecular recognition earned them the 1987 Nobel Prize.[6] The first discrete organic cages were reported by Tozawa and Cooper in 2009, introducing permanently porous organic cages with intrinsic cavities.[7] Since then, the field has grown significantly, driven by advances in synthetic chemistry and characterization techniques.[4] Early examples demonstrated basic molecular containment, but modern designs achieve sophisticated functions, including selective molecular recognition, catalysis, and stimuli-responsive behavior. The ability to control cavity size and chemical environment at the molecular level distinguishes these materials from traditional porous systems.[5][8]

Structure and design

Basic structural components

Molecular cage structures with linkers (rods) and nodes (spheres): (a) triangular prism, (b) cubic, (c) octahedral, and (d) pentagonal prism

The architecture of organic molecular cages follows precise geometric principles that dictate their three-dimensional structure and functional properties.[9] Understanding these structural components is crucial for the design of cages with desired characteristics. The assembly process relies on the careful selection and combination of two primary components: nodes and linkers, whose geometric relationship determines the final cage structure.[9][10]

Nodes are the cornerstones of cage architecture and are typically composed of rigid organic molecules with specific geometric arrangements. The geometry of these nodes directly influences the final cage structure and its internal cavity dimensions, making their selection crucial for targeted applications.[10][11] Common node geometries include trigonal (three-directional), tetrahedral (four-directional), and octahedral (six-directional).

Complementing the nodes, linkers act as edges that connect these vertices to form the complete cage structure.[11] These linkers are typically linear or slightly bent organic molecules that contain reactive end groups essential for cage formation. The careful selection of linker length and flexibility helps control the size of the internal cavity and the overall cage stability.[12] The most employed linkers are dialdehyde units, diamine compounds, and diboronic acids.

This modular approach of combining specific nodes and linkers enables the rational design of cages with predetermined geometries and functionalities. The interplay between node geometry and linker characteristics determines not only the structural features but also the chemical environment of the resulting cavity, which is crucial for applications in molecular recognition and catalysis.[5]

Classification

Chemical composition-based classification

Imine-based covalent organic cage: (a) imine condensation reaction scheme (b) imine-based covalent organic cage

The most extensively studied category of organic molecular cages are imine-based cages, formed through Schiff base condensation reactions.[13][14] This reaction involves the condensation of aldehyde and amine groups to form imine bonds (C=N). The reversible nature of imine bond formation enables error correction during synthesis, leading to highly ordered structures, where multiple imine bonds connect the organic linkers and nodes to form a well-defined cage structure. This self-correcting mechanism makes imine-based cages particularly attractive for developing new cage architectures and has contributed to their widespread study in the field.[13][15]

Boronic ester cages are another important class, characterized by their reversible boronic ester bonds and remarkable stability in non-aqueous conditions.[16] Their unique chemical nature allows for post-synthetic modification, enabling the fine-tuning of cage properties after initial synthesis. This adaptability makes them valuable for applications requiring specific chemical functionalities, particularly in conditions where imine bonds are unstable.[16][17]

A third major category includes alkyne-based cages, which feature irreversible acetylene linkages that provide enhanced structural rigidity.[3] The strong covalent bonds in these structures result in high thermal stability, making them suitable for applications under demanding conditions. Their rigid framework ensures consistent cavity size and shape, making them particularly valuable for selective molecular recognition applications where structural integrity is crucial.[18]

Structural classification

Beyond chemical composition, cages are also classified based on their structural characteristics.[7] Shape-persistent cages maintain fixed conformations due to their rigid building blocks and strong covalent bonds, providing stable and predictable cavity environments.[19] In contrast, flexible cages exhibit dynamic structures that can adapt to guest molecules through conformational changes,[20] allowing for responsive host-guest interactions. This flexibility can be advantageous in applications requiring adaptive binding, such as selective molecular capture under varying conditions. Some systems even form hierarchical assemblies, creating cage-of-cage structures with complex internal architectures that can provide multiple distinct environments for guest molecules or cascade reactions.[21]

Size-based classification

The classification of cages by cavity size provides practical guidance for applications and directly relates to their synthetic components and geometry.[4] Small cages (< 1 nm internal diameter) are typically constructed from compact building blocks and feature tight binding pockets suitable for gas molecule separation and storage, particularly for gases like CO2 and CH4.[22] Medium cages (1-2 nm) represent the most versatile category, finding applications in selective molecular recognition and catalysis due to their ability to accommodate a wide range of organic molecules and maintain specific chemical environments. Large cages (> 2 nm), often synthesized using extended linear components or through hierarchical assembly, can accommodate bigger guest molecules such as proteins or large organic compounds, making them valuable for applications in drug delivery and enzyme encapsulation. The relationship between cage size and function has been extensively studied, revealing optimal size ranges for specific applications and guiding the design of new cage systems.[23]

Properties

Chemical Properties

Organic molecular cages exhibit diverse chemical properties determined by their structural components and functional groups. Imine-based cages show pH-responsive behavior, with the imine bonds being stable at neutral to basic conditions but susceptible to hydrolysis in acidic environments. This pH sensitivity can be exploited for controlled release applications.[24] Boronic ester cages demonstrate selective binding with diols and sugars, enabling specific molecular recognition.[16] Post-synthetic modification of cage structures through chemical reactions on peripheral groups allows tuning of cavity properties and introduction of new functionalities.[25]

Physical Properties

Organic molecular cages exhibit permanent porosity in both solution and solid state, a unique characteristic that distinguishes them from conventional porous materials.[7] Typical surface areas range from 500 to 3000 m²/g, with pore volumes varying based on cage geometry.[21][23] Most organic cages demonstrate high thermal stability up to 300 °C, though this varies with chemical composition [19,28].[18]

Solubility represents another key physical property, with most cages showing good solubility in common organic solvents.[15] This solution processability enables their incorporation into membranes and composite materials.[22] The mechanical properties of cage crystals depend on packing arrangements and intermolecular interactions.[21][7] While individual cage molecules are robust due to their covalent nature, crystal mechanical properties can range from brittle to flexible depending on intermolecular forces. Shape persistence varies with cage structure, affecting their stability and guest binding properties.[19][20]

Synthesis

Dynamic covalent chemistry enables the formation of thermodynamically stable cage structures through reversible bond formation.[13][14] The formation of imine bonds through the reaction between aldehyde and amine groups represents a fundamental example of this chemistry.[13] This reversible nature allows for continuous bond breaking and reforming during synthesis, enabling error correction and driving the system toward the most thermodynamically stable products.[16][17] The dynamic nature of these reactions is particularly crucial in cage synthesis for several reasons. The ability to self-correct defects during formation ensures the production of highly ordered structures with minimal imperfections.[16] The formation of thermodynamically favored products leads to stable and well-defined cage architectures that can maintain their structural integrity under various conditions.[21] Furthermore, the reaction conditions can be carefully controlled for desired product distribution, allowing for selective synthesis of desired cage structures.[17] This dynamic character also enables template-directed synthesis, where specific molecular templates can guide the assembly process toward predetermined architectures.[16]

Both experimentally and computationally, various synthetic approaches have been developed to control cage formation and optimize yields.[23] The choice of synthetic strategy significantly influences the final cage structure, purity, and scalability of the synthesis.[21] Strategic synthetic approaches range from simple one-pot reactions to sophisticated template-directed methods, each offering distinct advantages.

One-Pot Synthesis

One-pot reactions involve combining all reactants simultaneously under appropriate conditions.[13] This straightforward approach has proven successful for many simpler cage structures, particularly those formed through imine condensation.[13][15] The success of one-pot synthesis often depends on the reversible nature of bond formation, allowing the system to self-correct and converge on the thermodynamically favored product.[16][17] The reaction conditions, such as temperature, solvent choice, and concentration, play crucial roles in determining the outcome. For example, in imine cage synthesis, polar aprotic solvents like dichloromethane or chloroform are often preferred as they facilitate imine formation while allowing the removal of water byproduct.[17] Additionally, techniques such as slow addition of components or temperature control can be employed to enhance selectivity towards the desired cage product.

Stepwise Assembly

More complex cage architectures often require stepwise assembly strategies.[25] This approach involves the systematic construction of cage fragments followed by their controlled combination into the final structure.[21] While more time-consuming, stepwise assembly offers greater control over the final product and is particularly useful for asymmetric cage structures. The key advantage of this method lies in its ability to isolate and characterize intermediate products, ensuring the quality of each synthetic step.[25] For instance, in the synthesis of large cages, building blocks can be first combined into smaller sub-cages or fragments, which are then purified before final assembly. This strategy is particularly valuable when working with expensive or sophisticated building blocks, as it minimizes material waste and allows for optimization of each step.

Template-Directed Synthesis

Template-directed methods employ molecular templates to guide cage formation around a specific guest molecule.[16] This approach can enhance selectivity and yield while providing control over cage size and shape.[26] The template can either be removed post-synthesis or remain as a functional component of the final structure.[27] The choice of template is crucial and depends on several factors including size compatibility, chemical affinity, and reversible binding capability. Common templates include metal ions, organic molecules, and solvent molecules. The template effect can operate through various mechanisms, such as geometric pre-organization of building blocks, electronic effects, or hydrogen bonding interactions.[21][26] After cage formation, template removal strategies must be carefully considered to maintain the integrity of the cage structure.

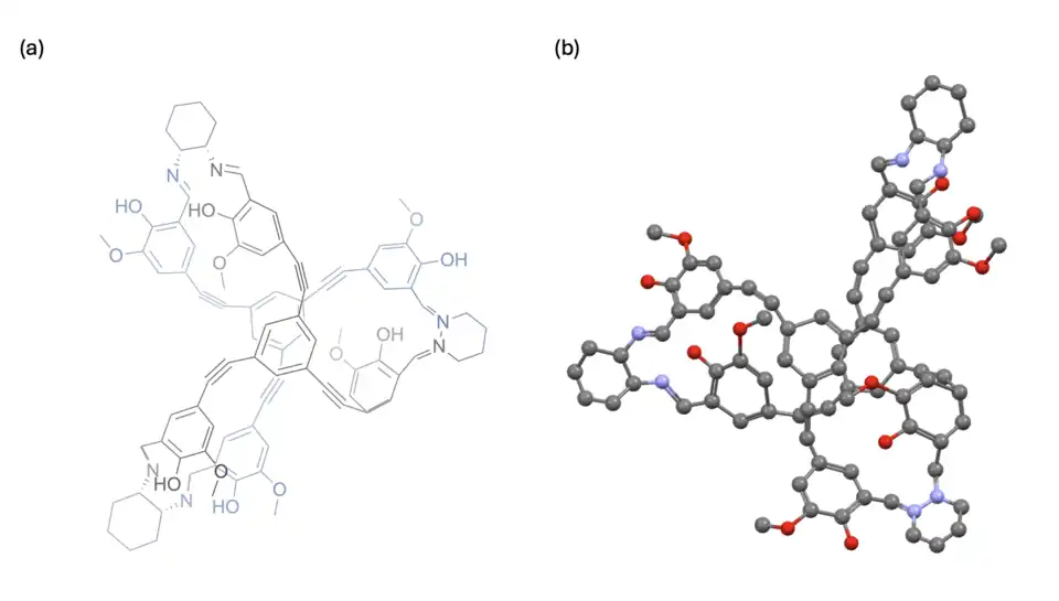
Characterization

The structural analysis of organic molecular cages requires a comprehensive suite of analytical techniques. Both 2D chemical structures and 3D physical arrangements are crucial for understanding cage architecture.[28][29] These complementary structural representations serve different purposes: the 2D chemical structure provides connectivity information while the 3D ball-and-stick model reveals the spatial arrangement and actual cavity formation. This multi-faceted visualization is essential for understanding the relationship between molecular design and functional properties. The characterization process usually involves multiple complementary methods to fully understand the cage structure and properties.

Molecular structure of a salen-based cage compound shown as: (a) 2D chemical structure, and (b) 3D ball-and-stick model representation

Single-Crystal X-ray Diffraction

Single-crystal X-ray diffraction serves as the definitive method for determining atomic-level structure of organic cages.[28] This technique provides precise information about spatial arrangements of atoms, revealing exact bond lengths, angles, and the three-dimensional architecture of the cage framework. Critical structural features such as cavity dimensions, shape, and packing arrangements in the solid state can be determined with high accuracy.[28][30]

Nuclear Magnetic Resonance Spectroscopy

NMR spectroscopy plays a crucial role in characterizing cage formation and dynamics in solution.[31] Solution-state NMR allows researchers to monitor reaction progress and confirm structural features through chemical shift analysis and coupling patterns. Two-dimensional NMR techniques help establish connectivity patterns and verify the successful formation of key structural features.[31] This solution-phase characterization complements solid-state analysis by providing insight into the cage's behavior under practical application conditions.[15]

Mass Spectrometry

Mass spectrometry confirms molecular mass and provides insights into cage assembly processes.[25] High-resolution mass spectrometry precisely determines the molecular weight of completed cages and can identify reaction intermediates during synthesis. The technique is particularly valuable for large cage structures where multiple charge states may be observed. Tandem mass spectrometry reveals fragmentation patterns that confirm structural assignments and can provide information about the strength of various bonds within the cage framework. Modern ionization techniques enable the study of host-guest complexes, offering insights into molecular recognition properties.[15]

Porosity Measurements and Surface Analysis

Gas sorption analysis provides crucial information about the porosity and surface properties of organic molecular cages.[22][30] Nitrogen adsorption-desorption isotherms determine surface area, pore volume, and pore size distribution. BET surface area measurements typically reveal values ranging from 500 to 3000 m²/g, depending on cage structure.[12] The analysis of adsorption isotherms also provides insights into pore accessibility and connectivity. Carbon dioxide and hydrogen adsorption measurements evaluate potential applications in gas storage and separation.[22][7]

Thermal Analysis

Thermogravimetric analysis (TGA) and differential scanning calorimetry (DSC) assess the thermal stability and phase behavior of cage compounds.[30][32] TGA reveals decomposition temperatures and solvent loss patterns, while DSC identifies phase transitions and structural changes. These techniques are particularly important for evaluating cage stability under application conditions. Many organic cages show remarkable thermal stability up to 300 °C, though this varies significantly with chemical composition.[4][18]

Potential Applications

Molecular Separations

The well-defined pore structure of organic cages enables selective molecular separations.[22][33] Molecular cages can discriminate between molecules based on size, shape, and chemical affinity.[22][34] Gas separation represents a major application, where cages are incorporated into mixed-matrix membranes for selective gas transport.[22] Studies have demonstrated effective separation of CO2/N2, CO2/CH4, and other industrially relevant gas mixtures.[33][35] The uniform pore size and chemical environment ensure consistent separation performance.[22] In liquid-phase separations, organic cages show promise for challenging molecular separations.[20][34] Their solution processability enables incorporation into chromatographic stationary phases.[20] The intrinsic chirality of some cage structures allows for enantioselective separations of racemic mixtures, achieving high separation factors for pharmaceutical and fine chemical applications.[34]

Host-Guest Chemistry and Sensing

Molecular cage applications: (a) selective molecular separation (b) encapsulation of guest molecules

Organic cages function as molecular containers through specific host-guest interactions.[15][30] The defined cavity can encapsulate guest molecules of appropriate size and chemical compatibility.[35] The binding process often induces measurable changes in cage properties, enabling their use as molecular sensors.[15] Selective binding of specific analytes can trigger optical, electronic, or structural responses that provide detection signals.[36] These features enable applications in environmental monitoring and chemical detection. The host-guest chemistry extends to selective capture of environmental pollutants and valuable chemicals.[22][37] The tunable cavity size and surface chemistry allow targeting specific molecules, while some cages demonstrate stimuli-responsive guest release for controlled delivery applications.[22]

Catalysis

Organic cages act as nano reactors for catalytic transformations.[38] The confined environment enhances reaction rates and selectivity through concentration effects in the cavity, specific orientation of reactants, stabilization of transition states, and control over product distribution.[38][39] The well-defined cavity creates a unique microenvironment that can accelerate reactions and influence product selectivity. Asymmetric catalysis benefits from chiral cage environments, enabling stereoselective transformations.[38] The catalytic activity can be tuned through modification of cage structure and functionalization of the cavity interior. Integration of catalytic sites within the cage framework allows for size-selective catalysis, where only appropriately sized substrates can access the active sites.[39]

Emerging Applications

Recent developments have expanded the applications of organic molecular cages into new areas. Energy storage and conversion applications utilize cages as components in battery electrolytes and fuel cells.[40] In environmental applications, cages demonstrate the potential for carbon capture and water purification through selective molecular binding.[22]

Biological applications represent another growing field.[41] The biocompatibility of certain cage structures enables their use in drug delivery systems.[41] Some cages can encapsulate and protect therapeutic molecules, releasing them under specific physiological conditions.[7] Additionally, enzyme-mimetic cages catalyze biological transformations in artificial systems.[41]

Smart materials incorporating organic cages show stimuli-responsive behavior.[32] These materials change properties in response to external stimuli such as light, temperature, or chemical signals. Applications include switchable membranes and responsive sensing systems.[32][36]

Future Perspectives

Organic molecular cages represent a versatile class of porous materials that bridge the gap between molecular chemistry and materials science. Their discrete molecular nature combined with well-defined cavities enables applications ranging from molecular separations to catalysis and sensing. The field has progressed significantly since the first report of permanently porous organic cages, with advances in synthetic methods, characterization techniques, and applications.[4][5][7]

Future directions in this field include the development of more complex cage architectures with multiple functional sites, expansion of stimuli-responsive systems, and integration of cages into devices and practical applications.[40][42] Computational approaches are increasingly important for predicting structure-property relationships and designing cages with targeted functions.[9] The combination of experimental and theoretical methods promises to accelerate the discovery of new cage systems with enhanced properties.[23]

Challenges remain in scaling up the synthesis of organic cages for industrial applications, improving thermal and chemical stability for demanding environments, and developing predictive models for guest selectivity.[5][42]

References

  1. ^ Gale, Philip A.; Steed, Jonathan W., eds. (2012-01-27). Supramolecular Chemistry: From Molecules to Nanomaterials (1 ed.). Wiley. doi:10.1002/9780470661345. ISBN 978-0-470-74640-0.
  2. ^ Diederich, François; Stang, Peter J.; Tykwinski, Rik R., eds. (2008-02-13). Modern Supramolecular Chemistry. Wiley. doi:10.1002/9783527621484. ISBN 978-3-527-31826-1.
  3. ^ a b Feng, Xiao; Ding, Xuesong; Jiang, Donglin (2012-08-20). "Covalent organic frameworks". Chemical Society Reviews. 41 (18): 6010–6022. doi:10.1039/C2CS35157A. ISSN 1460-4744. PMID 22821129.
  4. ^ a b c d e Hasell, Tom; Cooper, Andrew I. (2016-07-26). "Porous organic cages: soluble, modular and molecular pores". Nature Reviews Materials. 1 (9): 16053. Bibcode:2016NatRM...116053H. doi:10.1038/natrevmats.2016.53. ISSN 2058-8437.
  5. ^ a b c d e Zhang, Gang; Mastalerz, Michael (2014-02-24). "Organic cage compounds – from shape-persistency to function". Chemical Society Reviews. 43 (6): 1934–1947. doi:10.1039/C3CS60358J. ISSN 1460-4744. PMID 24336604.
  6. ^ Lehn, Jean-Marie (1988). "Supramolecular Chemistry—Scope and Perspectives Molecules, Supermolecules, and Molecular Devices (Nobel Lecture)". Angewandte Chemie International Edition in English. 27 (1): 89–112. doi:10.1002/anie.198800891. ISSN 1521-3773.
  7. ^ a b c d e f g Tozawa, Tomokazu; Jones, James T. A.; Swamy, Shashikala I.; Jiang, Shan; Adams, Dave J.; Shakespeare, Stephen; Clowes, Rob; Bradshaw, Darren; Hasell, Tom; Chong, Samantha Y.; Tang, Chiu; Thompson, Stephen; Parker, Julia; Trewin, Abbie; Bacsa, John (2009-10-25). "Porous organic cages". Nature Materials. 8 (12): 973–978. Bibcode:2009NatMa...8..973T. doi:10.1038/nmat2545. PMID 19855385.
  8. ^ Lai, King C.; Han, Yong; Spurgeon, Peter; Huang, Wenyu; Thiel, Patricia A.; Liu, Da-Jiang; Evans, James W. (2019-06-12). "Reshaping, Intermixing, and Coarsening for Metallic Nanocrystals: Nonequilibrium Statistical Mechanical and Coarse-Grained Modeling". Chemical Reviews. 119 (11): 6670–6768. doi:10.1021/acs.chemrev.8b00582. ISSN 0009-2665. PMID 31181906.
  9. ^ a b c Greenaway, Rebecca L.; Jelfs, Kim E. (2021). "Integrating Computational and Experimental Workflows for Accelerated Organic Materials Discovery". Advanced Materials. 33 (11): 2004831. Bibcode:2021AdM....3304831G. doi:10.1002/adma.202004831. ISSN 1521-4095. PMC 11468036. PMID 33565203.
  10. ^ a b Jelfs, Kim E.; Cooper, Andrew I. (2013-02-01). "Molecular simulations to understand and to design porous organic molecules". Current Opinion in Solid State and Materials Science. 17 (1): 19–30. Bibcode:2013COSSM..17...19J. doi:10.1016/j.cossms.2012.12.001. ISSN 1359-0286.
  11. ^ a b Briggs, Michael E.; Cooper, Andrew I. (2017-01-10). "A Perspective on the Synthesis, Purification, and Characterization of Porous Organic Cages". Chemistry of Materials. 29 (1): 149–157. doi:10.1021/acs.chemmater.6b02903. ISSN 0897-4756. PMC 5241154. PMID 28111496.
  12. ^ a b Beuerle, Florian; Gole, Bappaditya (2018). "Covalent Organic Frameworks and Cage Compounds: Design and Applications of Polymeric and Discrete Organic Scaffolds". Angewandte Chemie International Edition. 57 (18): 4850–4878. doi:10.1002/anie.201710190. ISSN 1521-3773. PMID 29205727.
  13. ^ a b c d e f Liu, Yi; Li, Zhan-Ting (2012-10-17). "A Dynamic Route to Structure and Function: Recent Advances in Imine-Based Organic Nanostructured Materials*". Australian Journal of Chemistry. 66 (1): 9–22. doi:10.1071/CH12349. ISSN 1445-0038.
  14. ^ a b Cui, Jing-Wang; Yang, Jing-Hua; Sun, Jian-Ke (2024-06-04). "Organic cage-based frameworks: from synthesis to applications". Chemical Synthesis. 4 (2): N/A. doi:10.20517/cs.2024.01. ISSN 2769-5247.
  15. ^ a b c d e f g Little, Marc A.; Chong, Samantha Y.; Schmidtmann, Marc; Hasell, Tom; Cooper, Andrew I. (2014-07-24). "Guest control of structure in porous organic cages". Chemical Communications. 50 (67): 9465–9468. doi:10.1039/C4CC04158E. ISSN 1364-548X. PMID 25010472.
  16. ^ a b c d e f g h Bols, Pernille S.; Anderson, Harry L. (2018-09-18). "Template-Directed Synthesis of Molecular Nanorings and Cages". Accounts of Chemical Research. 51 (9): 2083–2092. doi:10.1021/acs.accounts.8b00313. ISSN 0001-4842. PMID 30156831.
  17. ^ a b c d e Hisaki, Ichiro; Suzuki, Yuto; Gomez, Eduardo; Ji, Qin; Tohnai, Norimitsu; Nakamura, Takayoshi; Douhal, Abderrazzak (2019-02-06). "Acid Responsive Hydrogen-Bonded Organic Frameworks". Journal of the American Chemical Society. 141 (5): 2111–2121. Bibcode:2019JAChS.141.2111H. doi:10.1021/jacs.8b12124. ISSN 0002-7863. PMID 30615836.
  18. ^ a b c Hasell, Tom; Miklitz, Marcin; Stephenson, Andrew; Little, Marc A.; Chong, Samantha Y.; Clowes, Rob; Chen, Linjiang; Holden, Daniel; Tribello, Gareth A.; Jelfs, Kim E.; Cooper, Andrew I. (2016-02-10). "Porous Organic Cages for Sulfur Hexafluoride Separation". Journal of the American Chemical Society. 138 (5): 1653–1659. Bibcode:2016JAChS.138.1653H. doi:10.1021/jacs.5b11797. ISSN 0002-7863. PMC 5101576. PMID 26757885.
  19. ^ a b Mastalerz, Michael (2018-10-16). "Porous Shape-Persistent Organic Cage Compounds of Different Size, Geometry, and Function". Accounts of Chemical Research. 51 (10): 2411–2422. doi:10.1021/acs.accounts.8b00298. ISSN 0001-4842. PMID 30203648.
  20. ^ a b c d Zhang, Jun-Hui; Xie, Sheng-Ming; Wang, Bang-Jin; He, Pin-Gang; Yuan, Li-Ming (2018). "A homochiral porous organic cage with large cavity and pore windows for the efficient gas chromatography separation of enantiomers and positional isomers". Journal of Separation Science. 41 (6): 1385–1394. doi:10.1002/jssc.201701095. ISSN 1615-9314. PMID 29222874.
  21. ^ a b c d e f g Alam, Rauful; Diner, Colin; Jonker, Sybrand; Eriksson, Lars; Szabó, Kálmán J. (2016). "Catalytic Asymmetric Allylboration of Indoles and Dihydroisoquinolines with Allylboronic Acids: Stereodivergent Synthesis of up to Three Contiguous Stereocenters". Angewandte Chemie International Edition. 55 (46): 14417–14421. doi:10.1002/anie.201608605. ISSN 1521-3773. PMC 5129484. PMID 27735124.
  22. ^ a b c d e f g h i j k Song, Qilei; Jiang, Shan; Hasell, Tom; Liu, Ming; Sun, Shijing; Cheetham, Anthony K.; Sivaniah, Easan; Cooper, Andrew I. (2016). "Porous Organic Cage Thin Films and Molecular-Sieving Membranes". Advanced Materials. 28 (13): 2629–2637. Bibcode:2016AdM....28.2629S. doi:10.1002/adma.201505688. hdl:10044/1/29017. ISSN 1521-4095. PMID 26800019.
  23. ^ a b c d Greenaway, R. L.; Santolini, V.; Bennison, M. J.; Alston, B. M.; Pugh, C. J.; Little, M. A.; Miklitz, M.; Eden-Rump, E. G. B.; Clowes, R.; Shakil, A.; Cuthbertson, H. J.; Armstrong, H.; Briggs, M. E.; Jelfs, K. E.; Cooper, A. I. (2018-07-20). "High-throughput discovery of organic cages and catenanes using computational screening fused with robotic synthesis". Nature Communications. 9 (1): 2849. Bibcode:2018NatCo...9.2849G. doi:10.1038/s41467-018-05271-9. ISSN 2041-1723. PMC 6054661. PMID 30030426.
  24. ^ Chew, Renta Jonathan; Wills, Martin (2018-03-02). "Ruthenium-Catalyzed Asymmetric Reduction of Isoxazolium Salts: Access to Optically Active Δ4-Isoxazolines". The Journal of Organic Chemistry. 83 (5): 2980–2985. doi:10.1021/acs.joc.7b03229. ISSN 0022-3263. PMID 29406732.
  25. ^ a b c d Wang, Qi; Yu, Chao; Long, Hai; Du, Ya; Jin, Yinghua; Zhang, Wei (2015). "Solution-Phase Dynamic Assembly of Permanently Interlocked Aryleneethynylene Cages through Alkyne Metathesis". Angewandte Chemie International Edition. 54 (26): 7550–7554. doi:10.1002/anie.201501679. ISSN 1521-3773. PMID 25959769.
  26. ^ a b Huang, Ning; Wang, Ping; Jiang, Donglin (2016-09-20). "Covalent organic frameworks: a materials platform for structural and functional designs". Nature Reviews Materials. 1 (10): 16068. Bibcode:2016NatRM...116068H. doi:10.1038/natrevmats.2016.68. ISSN 2058-8437.
  27. ^ Zhang, Dawei; Ronson, Tanya K.; Lavendomme, Roy; Nitschke, Jonathan R. (2019-12-04). "Selective Separation of Polyaromatic Hydrocarbons by Phase Transfer of Coordination Cages". Journal of the American Chemical Society. 141 (48): 18949–18953. Bibcode:2019JAChS.14118949Z. doi:10.1021/jacs.9b10741. ISSN 0002-7863. PMC 6900757. PMID 31729877.
  28. ^ a b c Pyzer-Knapp, Edward O.; Thompson, Hugh P. G.; Schiffmann, Florian; Jelfs, Kim E.; Chong, Samantha Y.; Little, Marc A.; Cooper, Andrew I.; Day, Graeme M. (2014-05-07). "Predicted crystal energy landscapes of porous organic cages". Chemical Science. 5 (6): 2235–2245. doi:10.1039/C4SC00095A. hdl:20.500.11850/84783. ISSN 2041-6539.
  29. ^ Ning, Guo-Hong; Cui, Peng; Sazanovich, Igor V.; Pegg, James T.; Zhu, Qiang; Pang, Zhongfu; Wei, Rong-Jia; Towrie, Mike; Jelfs, Kim E.; Little, Marc A.; Cooper, Andrew I. (2021-11-11). "Organic cage inclusion crystals exhibiting guest-enhanced multiphoton harvesting". Chem. 7 (11): 3157–3170. Bibcode:2021Chem....7.3157N. doi:10.1016/j.chempr.2021.09.016. ISSN 2451-9294.
  30. ^ a b c d Mitra, Tamoghna; Jelfs, Kim E.; Schmidtmann, Marc; Ahmed, Adham; Chong, Samantha Y.; Adams, Dave J.; Cooper, Andrew I. (2013-01-20). "Molecular shape sorting using molecular organic cages". Nature Chemistry. 5 (4): 276–281. Bibcode:2013NatCh...5..276M. doi:10.1038/nchem.1550. PMID 23511415.
  31. ^ a b Zuccaccia, Daniele; Pirondini, Laura; Pinalli, Roberta; Dalcanale, Enrico; Macchioni, Alceo (2005-05-18). "Dynamic and Structural NMR Studies of Cavitand-Based Coordination Cages". Journal of the American Chemical Society. 127 (19): 7025–7032. Bibcode:2005JAChS.127.7025Z. doi:10.1021/ja042265+. ISSN 0002-7863. PMID 15884946.
  32. ^ a b c He, Ai; Jiang, Zhiwei; Wu, Yue; Hussain, Hadeel; Rawle, Jonathan; Briggs, Michael E.; Little, Marc A.; Livingston, Andrew G.; Cooper, Andrew I. (2022-02-10). "A smart and responsive crystalline porous organic cage membrane with switchable pore apertures for graded molecular sieving". Nature Materials. 21 (4): 463–470. Bibcode:2022NatMa..21..463H. doi:10.1038/s41563-021-01168-z. ISSN 1476-4660. PMC 8971131. PMID 35013552.
  33. ^ a b Song, Zhihao; Wang, Ying; Zha, Zhiyuan; Wang, Zhi; Zhao, Song (2025-01-01). "Porous organic cage separation membranes: Exploratory journey from preparation to application". Advanced Membranes. 5: 100125. doi:10.1016/j.advmem.2024.100125. ISSN 2772-8234.
  34. ^ a b c Chen, Linjiang; Reiss, Paul S.; Chong, Samantha Y.; Holden, Daniel; Jelfs, Kim E.; Hasell, Tom; Little, Marc A.; Kewley, Adam; Briggs, Michael E.; Stephenson, Andrew; Thomas, K. Mark; Armstrong, Jayne A.; Bell, Jon; Busto, Jose; Noel, Raymond (2014-07-20). "Separation of rare gases and chiral molecules by selective binding in porous organic cages". Nature Materials. 13 (10): 954–960. Bibcode:2014NatMa..13..954C. doi:10.1038/nmat4035. ISSN 1476-4660. PMID 25038731.
  35. ^ a b Dutta, Supriti; Hernández García, José Ignacio; Mishra, Bikash; Díaz, David Díaz; Pachfule, Pradip (2024-07-17). "Synthesis and Applications of Cage-Based Covalent Organic Frameworks". Crystal Growth & Design. 24 (14): 6081–6094. Bibcode:2024CrGrD..24.6081D. doi:10.1021/acs.cgd.4c00701. ISSN 1528-7483.
  36. ^ a b Benchimol, Elie; Nguyen, Bao-Nguyen T.; Ronson, Tanya K.; Nitschke, Jonathan R. (2022-06-20). "Transformation networks of metal–organic cages controlled by chemical stimuli". Chemical Society Reviews. 51 (12): 5101–5135. doi:10.1039/D0CS00801J. ISSN 1460-4744. PMC 9207707. PMID 35661155.
  37. ^ Percástegui, Edmundo G. (2022-04-21). "Metal–organic cages against toxic chemicals and pollutants". Chemical Communications. 58 (33): 5055–5071. doi:10.1039/D2CC00604A. ISSN 1364-548X. PMID 35383805.
  38. ^ a b c Xu, Ning; Su, Kongzhao; El-Sayed, El-Sayed M.; Ju, Zhanfeng; Yuan, Daqiang (2022-03-24). "Chiral proline-substituted porous organic cages in asymmetric organocatalysis". Chemical Science. 13 (12): 3582–3588. doi:10.1039/D2SC00395C. ISSN 2041-6539. PMC 8943855. PMID 35432868.
  39. ^ a b Bhandari, Pallab; Mukherjee, Partha Sarathi (2023-05-05). "Covalent Organic Cages in Catalysis". ACS Catalysis. 13 (9): 6126–6143. doi:10.1021/acscatal.3c01080.
  40. ^ a b Qin, Wei-Min; Li, Zhongliang; Su, Wen-Xia; Hu, Jia-Min; Zou, Hanqin; Wu, Zhixuan; Ruan, Zhiqin; Cai, Yue-Peng; Li, Kang; Zheng, Qifeng (2024-10-15). "Porous Organic Cage-Based Quasi-Solid-State Electrolyte with Cavity-Induced Anion-Trapping Effect for Long-Life Lithium Metal Batteries". Nano-Micro Letters. 17 (1): 38. doi:10.1007/s40820-024-01499-x. ISSN 2150-5551. PMC 11480285. PMID 39404929.
  41. ^ a b c Wang, Ya-Ping; Zhang, Yu; Duan, Xiao-Hui; Mao, Jia-Ji; Pan, Mei; Shen, Jun; Su, Cheng-Yong (2024-02-15). "Recent progress in metal-organic cages for biomedical application: Highlighted research during 2018–2023". Coordination Chemistry Reviews. 501: 215570. doi:10.1016/j.ccr.2023.215570. ISSN 0010-8545.
  42. ^ a b Slater, Anna G.; Cooper, Andrew I. (2015-05-29). "Function-led design of new porous materials". Science. 348 (6238): aaa8075. doi:10.1126/science.aaa8075. PMID 26023142.