Oriented matroid

Oriented-matroid theory allows a combinatorial approach to the max-flow min-cut theorem. A network with the value of flow equal to the capacity of an s-t cut

An oriented matroid is a mathematical structure that abstracts the properties of directed graphs, vector arrangements over ordered fields, and hyperplane arrangements over ordered fields.[1] In comparison, an ordinary (i.e., non-oriented) matroid abstracts the dependence properties that are common both to graphs, which are not necessarily directed, and to arrangements of vectors over fields, which are not necessarily ordered.[2] [3]

All oriented matroids have an underlying matroid. Thus, results on ordinary matroids can be applied to oriented matroids. However, the converse is false; some matroids cannot become an oriented matroid by orienting an underlying structure (e.g., circuits or independent sets).[4] The distinction between matroids and oriented matroids is discussed further below.

Matroids are often useful in areas such as dimension theory and algorithms. Because of an oriented matroid's inclusion of additional details about the oriented nature of a structure, its usefulness extends further into several areas including geometry and optimization.

History

The first appearance of oriented matroids was in a 1966 article by George J. Minty and was confined to regular matroids.[5]

Subsequently R.T. Rockefellar (1969) suggested the problem of generalizing Minty's concept to real vector spaces. His proposal helped lead to the development of the general theory.

Background

In order to abstract the concept of orientation on the edges of a graph to sets, one needs the ability to assign "direction" to the elements of a set. The way this achieved is with the following definition of signed sets.

  • A signed set, , combines a set of objects, , with an ordered bipartition of that set into two disjoint subsets: and .
The members of are called the positive elements; members of are the negative elements.
  • The set is called the support of .
  • The empty signed set, , is defined as the empty set combined with an (ordered) bipartition of it into two empty sets: and .
  • The signed set is the opposite of , written , if and

Given an element of the support, we will write for a positive element and for a negative element. In this way, a signed set is just adding negative signs to distinguished elements. This will make sense as a "direction" only when we consider orientations of larger structures. Then the sign of each element will encode its direction relative to this orientation.

Axiomatizations

Like ordinary matroids, several equivalent systems of axioms exist. (Such structures that possess multiple equivalent axiomatizations are called cryptomorphic.)

Circuit axioms

Let be any set. We refer to as the ground set. Let be a collection of signed sets, each of which is supported by a subset of . If the following axioms hold for , then equivalently is the set of signed circuits for an oriented matroid on .

  • (C0)
  • (C1) (symmetric)
  • (C2) (incomparable)
  • (C3) (weak elimination)

Vector Axioms

The composition of signed sets and is the signed set defined by , , and . The vectors of an oriented matroid are the compositions of circuits. The vectors of an oriented matroid satisfy the following axioms:

  • for all ,
  • for all , and , there is a , such that
    • ,
    • , and
    • .

The covectors of an oriented matroid are the vectors of its dual oriented matroid.

Chirotope axioms

Let be as above. For each non-negative integer , a chirotope of rank is a function that satisfies the following axioms:

  • (B0) (non-trivial): is not identically zero
  • (B1) (alternating): For any permutation and , , where is the sign of the permutation.
  • (B2) (exchange): For any such that for each , then we also have .

The term chirotope is derived from the mathematical notion of chirality, which is a concept abstracted from chemistry, where it is used to distinguish molecules that have the same structure except for a reflection.

Equivalence

Every chirotope of rank gives rise to a set of bases of a matroid on consisting of those -element subsets that assigns a nonzero value.[6] The chirotope can then sign the circuits of that matroid. If is a circuit of the described matroid, then where is a basis. Then can be signed with positive elements

and negative elements the complement. Thus a chirotope gives rise to the oriented bases of an oriented matroid. In this sense, (B0) is the nonempty axiom for bases and (B2) is the basis exchange property.

Examples

Oriented matroids are often introduced (e.g., Bachem and Kern) as an abstraction for directed graphs or systems of linear inequalities. Below are the explicit constructions.

Directed graphs

Given a digraph, we define a signed circuit from the standard circuit of the graph by the following method. The support of the signed circuit is the standard set of edges in a minimal cycle. We go along the cycle in the clockwise or anticlockwise direction assigning those edges whose orientation agrees with the direction to the positive elements and those edges whose orientation disagrees with the direction to the negative elements . If is the set of all such , then is the set of signed circuits of an oriented matroid on the set of edges of the directed graph.

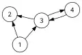
A directed graph

If we consider the directed graph on the right, then we can see that there are only two (graph) circuits, namely and . Then there are only four possible signed circuits corresponding to clockwise and anticlockwise orientations, namely , , , and . These four sets form the set of signed circuits of an oriented matroid on the set .

This is opposed to the ordinary directed graphic matroid for the same graph, whose only circuit is , as the other edges cannot form a directed cycle without flipping the direction of some of them.

Linear algebra

If is any finite subset of , then the set of minimal linearly dependent sets forms the circuit set of a matroid on . To extend this construction to oriented matroids, for each circuit there is a minimal linear dependence

with . Then the signed circuit has positive elements and negative elements . The set of all such forms the set of signed circuits of an oriented matroid on . Oriented matroids that can be realized this way are called representable.

Given the same set of vectors , we can define the same oriented matroid with a chirotope . For any let

where the right hand side of the equation is the sign of the determinant. Then is the chirotope of the same oriented matroid on the set .

Hyperplane arrangements

A real hyperplane arrangement is a finite set of hyperplanes in , each containing the origin. By picking one side of each hyperplane to be the positive side, we obtain an arrangement of half-spaces. A half-space arrangement breaks down the ambient space into a finite collection of cells, each defined by which side of each hyperplane it lands on. That is, assign each point to the signed set with if is on the positive side of and if is on the negative side of . This collection of signed sets defines the set of covectors of the oriented matroid, which are the vectors of the dual oriented matroid.[7]

Each rank-3 oriented matroid is equivalent to an arrangement of pseudolines, and each oriented matroid which is also uniform is equivalent to a simple pseudoline arrangement (where every 2 lines cross exactly once, and no 3 lines cross at the same point). Tools for dealing with one form can therefore be used to analyze its equivalent form for either study.[8]

Convex polytope

Günter M. Ziegler introduces oriented matroids via convex polytopes.

Results

Orientability

A standard matroid is called orientable if its circuits are the supports of signed circuits of some oriented matroid. It is known that all real representable matroids are orientable. It is also known that the class of orientable matroids is closed under taking minors, however the list of forbidden minors for orientable matroids is known to be infinite.[9] In this sense, oriented matroids is a much stricter formalization than regular matroids.

Duality

Just as a matroid has a unique duals, an oriented matroid has a unique dual, often called its "orthogonal dual". What this means is that the underlying matroids are dual and that the cocircuits are signed so that they are "orthogonal" to every circuit. Two signed sets are said to be orthogonal if the intersection of their supports is empty or if the restriction of their positive elements to the intersection and negative elements to the intersection form two nonidentical and non-opposite signed sets. The existence and uniqueness of the dual oriented matroid depends on the fact that every signed circuit is orthogonal to every signed cocircuit.[10]

To see why orthogonality is necessary for uniqueness one needs only to look to the digraph example above. We know that for planar graphs the dual of the circuit matroid is the circuit matroid of the graph's planar dual. Thus there are as many different dual pairs of oriented matroids based on the matroid of the graph as there are ways to orient the graph and in a corresponding way its dual.

To see the explicit construction of this unique orthogonal dual oriented matroid, consider an oriented matroid's chirotope . If we consider a list of elements of as a cyclic permutation then we define to be the sign of the associated permutation. If is defined as

then is the chirotope of the unique orthogonal dual oriented matroid.[11]

Topological representation

This is an example of a pseudoline arrangement that is distinct from any line arrangement.

Not all oriented matroids are representable—that is, not all have realizations as point configurations, or, equivalently, hyperplane arrangements. However, in some sense, all oriented matroids come close to having realizations as hyperplane arrangements. In particular, the Folkman–Lawrence topological representation theorem states that any oriented matroid has a realization as an arrangement of pseudospheres. A -dimensional pseudosphere is an embedding of such that there exists a homeomorphism so that embeds as an equator of . In this sense a pseudosphere is just a tame sphere (as opposed to wild spheres). A pseudosphere arrangement in is a collection of pseudospheres that intersect along pseudospheres. Finally, the Folkman–Lawrence topological representation theorem states that every oriented matroid of rank can be obtained from a pseudosphere arrangement in .[12] It is named after Jon Folkman and Jim Lawrence, who published it in 1978.

Geometry

Minkowski addition of four line-segments. The left-hand pane displays four sets, which are displayed in a two-by-two array. Each of the sets contains exactly two points, which are displayed in red. In each set, the two points are joined by a pink line segment, which is the convex hull of the original set. Each set has exactly one point that is indicated with a plus symbol. In the top row of the two-by-two array, the plus symbol lies in the interior of the line segment; in the bottom row, the plus symbol coincides with one of the red points. This completes the description of the left-hand pane of the diagram. The right-hand pane displays the Minkowski sum of the sets, which is the union of the sums having exactly one point from each summand set; for the displayed sets, the sixteen sums are distinct points, which are displayed in red: The right-hand red sum points are the sums of the left-hand red summand points. The convex hull of the sixteen red points is shaded in pink. In the pink interior of the right-hand sumset lies exactly one plus-symbol, which is the (unique) sum of the plus-symbols from the right-hand side. The right-hand plus symbol is indeed the sum of the four plus-symbols from the left-hand sets, precisely two points from the original non-convex summand sets and two points from the convex hulls of the remaining summand sets.
A zonotope, which is a Minkowski sum of line segments, is a fundamental model for oriented matroids. The sixteen dark red points (on the right) form the Minkowski sum of the four non-convex sets (on the left), each of which consists of a pair of red points. Their convex hulls (shaded pink) contain plus signs (+): The right plus sign is the sum of the left plus signs.

The theory of oriented matroids has influenced the development of combinatorial geometry, especially the theory of convex polytopes, zonotopes, and configurations of vectors (equivalently, arrangements of hyperplanes).[13] Many results—Carathéodory's theorem, Helly's theorem, Radon's theorem, the Hahn–Banach theorem, the Krein–Milman theorem, the lemma of Farkas—can be formulated using appropriate oriented matroids.[14]

Optimization

In convex geometry, the simplex algorithm for linear programming is interpreted as tracing a path along the vertices of a convex polyhedron. Oriented matroid theory studies the combinatorial invariants that are revealed in the sign patterns of the matrices that appear as pivoting algorithms exchange bases.

The development of an axiom system for oriented matroids was initiated by R. Tyrrell Rockafellar to describe the sign patterns of the matrices arising through the pivoting operations of Dantzig's simplex algorithm; Rockafellar was inspired by Albert W. Tucker's studies of such sign patterns in "Tucker tableaux". [15]

The theory of oriented matroids has led to breakthroughs in combinatorial optimization. In linear programming, it was the language in which Robert G. Bland formulated his pivoting rule, by which the simplex algorithm avoids cycles. Similarly, it was used by Terlaky and Zhang to prove that their criss-cross algorithms have finite termination for linear programming problems. Similar results were made in convex quadratic programming by Todd and Terlaky.[16] It has been applied to linear-fractional programming,[17] quadratic-programming problems, and linear complementarity problems.[18][19][20]

Outside of combinatorial optimization, oriented matroid theory also appears in convex minimization in Rockafellar's theory of "monotropic programming" and related notions of "fortified descent".[21] Similarly, matroid theory has influenced the development of combinatorial algorithms, particularly the greedy algorithm.[22] More generally, a greedoid is useful for studying the finite termination of algorithms.

References

  1. ^ R. Tyrrell Rockafellar 1969. Anders Björner et alia, Chapters 1-3. Jürgen Bokowski, Chapter 1. Günter M. Ziegler, Chapter 7.
  2. ^ Björner et alia, Chapters 1-3. Bokowski, Chapters 1-4.
  3. ^ Because matroids and oriented matroids are abstractions of other mathematical abstractions, nearly all the relevant books are written for mathematical scientists rather than for the general public. For learning about oriented matroids, a good preparation is to study the textbook on linear optimization by Nering and Tucker, which is infused with oriented-matroid ideas, and then to proceed to Ziegler's lectures on polytopes.
  4. ^ Björner et alia, Chapter 7.9.
  5. ^ G. J. Minty (1966), On the axiomatic foundations of the theories of directed linear graphs, electrical networks, and network programming. J. Math. Mech. 15: 485–520. Reprinted in D. R. Fulkerson, ed., Graph Theory, M.A.A. Study No. 12, Mathematical Association of America.
  6. ^ Björner et alia, Chapter 3.5
  7. ^ * Björner, Anders; Las Vergnas, Michel; Sturmfels, Bernd; White, Neil; Ziegler, Günter (1999). Oriented Matroids. Encyclopedia of Mathematics and Its Applications. Vol. 46 (2nd ed.). Cambridge University Press. ISBN 978-0-521-77750-6. OCLC 776950824. Zbl 0944.52006.
  8. ^ Felsner, Stefan; Goodman, Jacob E. (2017). "Pseudoline Arrangements" (PDF). Handbook of Discrete and Computational Geometry (3rd ed.). Chapman and Hall/CRC. ISBN 9781315119601.
  9. ^ Björner et alia, Chapter 7.9
  10. ^ Björner et alia, Chapter 3.4
  11. ^ Björner et alia, Chapter 3.6
  12. ^ Björner et alia, Chapter 5.2
  13. ^ Bachem and Kern, Chapters 1–2 and 4–9. Björner et alia, Chapters 1–8. Ziegler, Chapter 7–8. Bokowski, Chapters 7–10.
  14. ^ Bachem and Wanka, Chapters 1–2, 5, 7–9. Björner et alia, Chapter 8.
  15. ^ Rockafellar, R. Tyrrell (1969). "The elementary vectors of a subspace of (1967)" (PDF). In R. C. Bose; Thomas A. Dowling (eds.). Combinatorial Mathematics and its Applications. The University of North Carolina Monograph Series in Probability and Statistics. Chapel Hill, North Carolina: University of North Carolina Press. pp. 104–127. MR 0278972.
  16. ^ Björner et alia, Chapters 8–9. Fukuda and Terlaky. Compare Ziegler.
  17. ^ Illés, Szirmai & Terlaky (1999)
  18. ^ Fukuda & Terlaky (1997)
  19. ^ Fukuda & Terlaky (1997, p. 385)
  20. ^ Fukuda & Namiki (1994, p. 367)
  21. ^ Rockafellar 1984 and 1998.
  22. ^ Lawler. Rockafellar 1984 and 1998.


Further reading

Books

Articles

On the web