Pinacidil
![]() | |
| Names | |
|---|---|
| IUPAC name
N-cyano-N'-pyridin-4-yl-N''-(1,2,2-trimethylpropyl)guanidine
| |
| Identifiers | |
| |
3D model (JSmol)
|
|
| ChEMBL | |
| ChemSpider | |
| ECHA InfoCard | 100.056.614 |
PubChem CID
|
|
| UNII |
|
CompTox Dashboard (EPA)
|
|
| |
| |
| Properties | |
| C13H19N5 | |
| Molar mass | 245.32346 |
| Pharmacology | |
| C02DG01 (WHO) | |
Except where otherwise noted, data are given for materials in their standard state (at 25 °C [77 °F], 100 kPa).
Infobox references
| |
Pinacidil is a cyanoguanidine drug that opens ATP-sensitive potassium channels producing peripheral vasodilatation of arterioles.[1] It reduces blood pressure and peripheral resistance and produces fluid retention.[2]
Pinacidil has been associated with development of hypertrichosis in 2 to 13% of patients.[3][4]
Synthesis

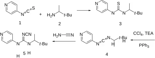
Condensation of 4-isothiocyanotopyridine [76105-84-5] (1) and 3,3-dimethyl-2-butanamine [3850-30-4] (2) gives thiourea [67027-06-9] (3). Treatment of that intermediate with a mixture of triphenylphosphine, carbon tetrachloride, and triethylamine leads to the unsymmetrical carbodiimide, CID:20501933 (4'). Addition of cyanamid affords pinacidil (5).
References
- ^ Gollasch M, Bychkov R, Ried C, Behrendt F, Scholze S, Luft FC, Haller H (1995). "Pinacidil relaxes porcine and human coronary arteries by activating ATP-dependent potassium channels in smooth muscle cells". J. Pharmacol. Exp. Ther. 275 (2): 681–92. PMID 7473155.
- ^ Reynolds, James Blair; Martindale, William L. (1996). The extra pharmacopoeia (31st ed.). London: Royal Pharmaceutical Society. pp. 2739 pages. ISBN 0-85369-342-0.
- ^ Rossi A, Cantisani C, Melis L, Iorio A, Scali E, Calvieri S (May 2012). "Minoxidil use in dermatology, side effects and recent patents". Recent Pat Inflamm Allergy Drug Discov. 6 (2): 130–136. doi:10.2174/187221312800166859. PMID 22409453.
Other potassium channel openers, like diazoxide [39, 40] and pinacidil [41] can cause hypertrichosis in humans as well as minoxidil. In balding macaques minoxidil, cromakalin and P-1075 (a pinacidil analogue) stimulate hair growth in about 20 weeks of topical treatment, whereas a fourth potassium channel opener, called RP49356, is not effective [42].
- ^ Buhl AE, Conrad SJ, Waldon DJ, Brunden MN (July 1993). "Potassium channel conductance as a control mechanism in hair follicles". J Invest Dermatol. 101 (1 Suppl): 148S – 152S. doi:10.1111/1523-1747.ep12363290. PMID 8326149.
The evidence that [potassium channel openers (PCOs)] are active on hair growth is correlative. In humans three PCOs have been reported to affect hair growth. Minoxidil was reported to induce hypertrichosis during early clinical trials as an antihypertensive [12]. These side effects were characterized by increasingly visual facial hair, thickening of eyebrows, and diffuse hair growth across the upper back and limbs. Systemic minoxidil induced hypertrichosis in 80–100% of adults [13]. Clinical trials using topical minoxidil demonstrate increased scalp hair in about 39% of treated balding men. Oral diazoxide causes hypertrichosis in most hypoglycemic children and about 1% of adults, and induces some scalp hair in 25% of the balding patients [13–15]. Systemic pinacidil induces hypertrichosis in 2–13% of patients [13]. We are not aware of any topical hair growth trials using pinacidil.
- ^ Petersen, Hans Joergen; Nielsen, C. Kaergaard; Arrigoni-Martelli, E. (1978). "Synthesis and hypotensive activity of N-alkyl-N-cyano-N'-pyridylguanidines". Journal of Medicinal Chemistry 21 (8): 773–781. doi:10.1021/jm00206a011.
- ^ Hansen, E. T.; Petersen, H. J. (2006). "Synthesis ofN-Alkyl-N'-cyano-N″-4-pyridylguanidines from 4-Pyridyldithiocarbamic AcidviaN-Alkyl-N′-4-Pyridylthioureas, orvia4-Pyridylcyaniminothiocarbamic Acid". Synthetic Communications. 14 (13): 1275–1283. doi:10.1080/00397918408076809.
- ^ Zhang, Hao; Liu, Rui-Quan; Liu, Ke-Chang; Li, Qi-Bo; Li, Qing-Yang; Liu, Shang-Zhong (2014). "A One-Pot Approach to Pyridyl Isothiocyanates from Amines". Molecules 19(9): 13631–13642. doi:10.3390/molecules190913631.
- ^ Hans J. Petersen, USRE31244E (1983 to Leo Pharma AS).
- ^ Hans Jorgen Petersen, U.S. patent 4,057,636 (1977 to Leo Pharma AS).
External links
- Pinacidil at the U.S. National Library of Medicine Medical Subject Headings (MeSH)
