Potassium phthalimide

Potassium phthalimide
Identifiers
3D model (JSmol)
ChemSpider
ECHA InfoCard 100.012.770
UNII
  • InChI=1S/C8H5NO2.K/c10-7-5-3-1-2-4-6(5)8(11)9-7;/h1-4H,(H,9,10,11);/q;+1 checkY
    Key: FYRHIOVKTDQVFC-UHFFFAOYSA-N checkY
  • InChI=1S/C8H5NO2.K/c10-7-5-3-1-2-4-6(5)8(11)9-7;/h1-4H,(H,9,10,11);/q;+1
    Key: FYRHIOVKTDQVFC-UHFFFAOYAD
  • Key: FYRHIOVKTDQVFC-UHFFFAOYSA-N
  • InChI=1S/C8H5NO2.K/c10-7-5-3-1-2-4-6(5)8(11)9-7;/h1-4H,(H,9,10,11);/q;+1/p-1
  • C1=CC=C2C(=C1)C(=O)[N-]C2=O.[K+]
Properties
C8H4KNO2
Molar mass 185.221 g/mol
Appearance Light yellow solid
Melting point > 300 °C (572 °F; 573 K)
Soluble in water
Hazards
NFPA 704 (fire diamond)
NFPA 704 four-colored diamondHealth 2: Intense or continued but not chronic exposure could cause temporary incapacitation or possible residual injury. E.g. chloroformFlammability 1: Must be pre-heated before ignition can occur. Flash point over 93 °C (200 °F). E.g. canola oilInstability 0: Normally stable, even under fire exposure conditions, and is not reactive with water. E.g. liquid nitrogenSpecial hazards (white): no code
2
1
0
Related compounds
Related compounds
Phthalimide
Except where otherwise noted, data are given for materials in their standard state (at 25 °C [77 °F], 100 kPa).
☒N verify (what is checkY☒N ?)
Infobox references

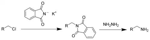
Potassium phthalimide is a chemical compound of formula C8H4KNO2. It is the potassium salt of phthalimide, and usually presents as fluffy, very pale yellow crystals. It can be prepared by adding a hot solution of phthalimide in ethanol to a solution of potassium hydroxide in ethanol; the desired product precipitates.[1]

This compound is a commercially available reagent used in the Gabriel synthesis of amines.

References

  1. ^ P. L. Salzberg and J. V. Supniewski (1941). "β-Bromoethylphthalimide". Organic Syntheses; Collected Volumes, vol. 1, p. 119.