Prime gap

A prime gap is the difference between two successive prime numbers. The n-th prime gap, denoted gn or g(pn) is the difference between the (n + 1)st and the n-th prime numbers, i.e.,
- gn = pn+1 − pn.
We have g1 = 1, g2 = g3 = 2, and g4 = 4. The sequence (gn) of prime gaps has been extensively studied; however, many questions and conjectures remain unanswered.
The first 60 prime gaps are:
- 1, 2, 2, 4, 2, 4, 2, 4, 6, 2, 6, 4, 2, 4, 6, 6, 2, 6, 4, 2, 6, 4, 6, 8, 4, 2, 4, 2, 4, 14, 4, 6, 2, 10, 2, 6, 6, 4, 6, 6, 2, 10, 2, 4, 2, 12, 12, 4, 2, 4, 6, 2, 10, 6, 6, 6, 2, 6, 4, 2, ... (sequence A001223 in the OEIS).
By the definition of gn every prime can be written as
Simple observations
The first, smallest, and only odd prime gap is the gap of size 1 between 2, the only even prime number, and 3, the first odd prime. All other prime gaps are even. There is only one pair of consecutive gaps having length 2: the gaps g2 and g3 between the primes 3, 5, and 7.
For any integer n, the factorial n! is the product of all positive integers up to and including n. Then in the sequence
the first term is divisible by 2, the second term is divisible by 3, and so on. Thus, this is a sequence of n − 1 consecutive composite integers, and it must belong to a gap between primes having length at least n. It follows that there are gaps between primes that are arbitrarily large, that is, for any integer N, there is an integer m with gm ≥ N.
However, prime gaps of n numbers can occur at numbers much smaller than n!. For instance, the first prime gap of size larger than 14 occurs between the primes 523 and 541, while 15! is the vastly larger number 1307674368000.
The average gap between primes increases as the natural logarithm of these primes, and therefore the ratio of the prime gap to the primes involved decreases (and is asymptotically zero). This is a consequence of the prime number theorem. From a heuristic view, we expect the probability that the ratio of the length of the gap to the natural logarithm is greater than or equal to a fixed positive number k to be e−k; consequently the ratio can be arbitrarily large. Indeed, the ratio of the gap to the number of digits of the integers involved does increase without bound. This is a consequence of a result by Westzynthius.[2]
In the opposite direction, the twin prime conjecture posits that gn = 2 for infinitely many integers n.
Numerical results
Usually the ratio gn / ln(pn) is called the merit of the gap gn. Informally, the merit of a gap gn can be thought of as the ratio of the size of the gap compared to the average prime gap sizes in the vicinity of pn.
The largest known prime gap with identified probable prime gap ends has length 16045848, with 385713-digit probable primes and merit M = 18.067, found by Andreas Höglund in March 2024.[3] The largest known prime gap with identified proven primes as gap ends has length 1113106 and merit 25.90, with 18662-digit primes found by P. Cami, M. Jansen and J. K. Andersen.[4][5]
As of September 2022, the largest known merit value and first with merit over 40, as discovered by the Gapcoin network, is 41.93878373 with the 87-digit prime 293703234068022590158723766104419463425709075574811762098588798217895728858676728143227. The prime gap between it and the next prime is 8350.[6][7]
| Merit | gn | digits | pn | Date | Discoverer |
|---|---|---|---|---|---|
| 41.938784 | 8350 | 87 | see above | 2017 | Gapcoin |
| 39.620154 | 15900 | 175 | 3483347771 × 409#/30 − 7016 | 2017 | Dana Jacobsen |
| 38.066960 | 18306 | 209 | 650094367 × 491#/2310 − 8936 | 2017 | Dana Jacobsen |
| 38.047893 | 35308 | 404 | 100054841 × 953#/210 − 9670 | 2020 | Seth Troisi |
| 37.824126 | 8382 | 97 | 512950801 × 229#/5610 − 4138 | 2018 | Dana Jacobsen |
The Cramér–Shanks–Granville ratio is the ratio gn / (ln pn)2.[6] If we discard anomalously high values of the ratio for the primes 2, 3, 7, then the greatest known value of this ratio is 0.9206386 for the prime 1693182318746371. For comparison, the gap discovered by the Gapcoin network (whis Merit 41.938784), will only receive a value of 0.205879136 in this index. Other record terms can be found at OEIS: A111943.
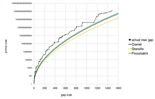
We say that gn is a maximal gap, if gm < gn for all m < n. As of October 2024, the largest known maximal prime gap has length 1676, found by Brian Kehrig. It is the 83rd maximal prime gap, and it occurs after the prime 20733746510561442863.[11] Other record (maximal) gap sizes can be found in OEIS: A005250, with the corresponding primes pn in OEIS: A002386, and the values of n in OEIS: A005669. The sequence of maximal gaps up to the nth prime is conjectured to have about 2 ln n terms.[12]
|
|
|
Further results
Upper bounds
Bertrand's postulate, proven in 1852, states that there is always a prime number between k and 2k, so in particular pn+1 < 2pn, which means gn < pn.
The prime number theorem, proven in 1896, says that the average length of the gap between a prime p and the next prime will asymptotically approach ln(p), the natural logarithm of p, for sufficiently large primes. The actual length of the gap might be much more or less than this. However, one can deduce from the prime number theorem that the gaps get arbitrarily smaller in proportion to the primes: the quotient
In other words (by definition of a limit), for every ϵ > 0, there is a number N such that for all n > N,
- .
Hoheisel (1930) was the first to show[13] a sublinear dependence; that there exists a constant θ < 1 such that
hence showing that
for sufficiently large n.
Hoheisel obtained the possible value 32999/33000 for θ. This was improved to 249/250 by Heilbronn,[14] and to θ = 3/4 + ε, for any ε > 0, by Chudakov.[15]
A major improvement is due to Ingham,[16] who showed that for some positive constant c,
- if then for any
Here, O refers to the big O notation, ζ denotes the Riemann zeta function and π the prime-counting function. Knowing that any c > 1/6 is admissible, one obtains that θ may be any number greater than 5/8.
An immediate consequence of Ingham's result is that there is always a prime number between n3 and (n + 1)3, if n is sufficiently large.[17] The Lindelöf hypothesis would imply that Ingham's formula holds for c any positive number: but even this would not be enough to imply that there is a prime number between n2 and (n + 1)2 for n sufficiently large (see Legendre's conjecture). To verify this, a stronger result such as Cramér's conjecture would be needed.
Huxley in 1972 showed that one may choose θ = 7/12 = 0.583.[18]
A result, due to Baker, Harman and Pintz in 2001, shows that θ may be taken to be 0.525.[19]
The above describes limits on all gaps; another are of interest is the minimum gap size. The twin prime conjecture asserts that there are always more gaps of size 2, but remains unproven. In 2005, Daniel Goldston, János Pintz and Cem Yıldırım proved that
and 2 years later improved this[20] to
In 2013, Yitang Zhang proved that
meaning that there are infinitely many gaps that do not exceed 70 million.[21] A Polymath Project collaborative effort to optimize Zhang's bound managed to lower the bound to 4680 on July 20, 2013.[22] In November 2013, James Maynard introduced a new refinement of the GPY sieve, allowing him to reduce the bound to 600 and also show that the gaps between primes m apart are bounded for all m. That is, for any m there exists a bound Δm such that pn+m − pn ≤ Δm for infinitely many n.[23] Using Maynard's ideas, the Polymath project improved the bound to 246;[22][24] assuming the Elliott–Halberstam conjecture and its generalized form, the bound has been reduced to 12 and 6, respectively.[22]
Lower bounds
In 1931, Erik Westzynthius proved that maximal prime gaps grow more than logarithmically. That is,[2]
In 1938, Robert Rankin proved the existence of a constant c > 0 such that the inequality
holds for infinitely many values of n, improving the results of Westzynthius and Paul Erdős. He later showed that one can take any constant c < eγ, where γ is the Euler–Mascheroni constant. The value of the constant c was improved in 1997 to any value less than 2eγ.[25]
Paul Erdős offered a $10,000 prize for a proof or disproof that the constant c in the above inequality may be taken arbitrarily large.[26] This was proved to be correct in 2014 by Ford–Green–Konyagin–Tao and, independently, James Maynard.[27][28]
The result was further improved to
for infinitely many values of n by Ford–Green–Konyagin–Maynard–Tao.[29]
In the spirit of Erdős' original prize, Terence Tao offered US$10,000 for a proof that c may be taken arbitrarily large in this inequality.[30]
Lower bounds for chains of primes have also been determined.[31]
Conjectures about gaps between primes
As described above, the best proven bound on gap sizes is gn < pn0.525 (for n sufficiently large; we do not worry about 5 − 3 > 30.525 or 29 − 23 > 230.525), but it is observed that even maximal gaps are significantly smaller than that, leading to a plethora of unproven conjectures.
The first group hypothesize that the exponent can be reduced to θ = 0.5.
Legendre's conjecture that there always exists a prime between successive square numbers implies that gn = O(√pn). Andrica's conjecture states that[32]
Oppermann's conjecture makes the stronger claim that, for sufficiently large n (probably n > 30),
All of these remain unproved. Harald Cramér came close, proving[33] that the Riemann hypothesis implies the gap gn satisfies
using the big O notation. (In fact this result needs only the weaker Lindelöf hypothesis, if one can tolerate an infinitesimally larger exponent.[34])

In the same article, he conjectured that the gaps are far smaller. Roughly speaking, Cramér's conjecture states that
a polylogarithmic growth rate slower than any exponent θ > 0.
As this matches the observed growth rate of prime gaps, there are a number of similar conjectures. Firoozbakht's conjecture is slightly stronger, stating that pn1/n is a strictly decreasing function of n, i.e.,
If this conjecture were true, then gn < (log pn)2 − log pn − 1 for all n > 9.[35][36] It implies a strong form of Cramér's conjecture but is inconsistent with the heuristics of Granville and Pintz,[37][38][39] which suggest that gn > (2 − ϵ)e−γ(log pn)2 > (1.1229 − ϵ)(log pn)2 infinitely often for any ϵ > 0, where γ denotes the Euler–Mascheroni constant.
Polignac's conjecture states that every positive even number k occurs as a prime gap infinitely often. The case k = 2 is the twin prime conjecture. The conjecture has not yet been proven or disproven for any specific value of k, but the improvements on Zhang's result discussed above prove that it is true for at least one (currently unknown) value of k ≤ 246.
As an arithmetic function
The gap gn between the nth and (n + 1)th prime numbers is an example of an arithmetic function. In this context it is usually denoted dn and called the prime difference function.[32] The function is neither multiplicative nor additive.
See also
References
- ^ Ares, Saul; Castro, Mario (February 1, 2006). "Hidden structure in the randomness of the prime number sequence?". Physica A: Statistical Mechanics and Its Applications. 360 (2): 285–296. arXiv:cond-mat/0310148. Bibcode:2006PhyA..360..285A. doi:10.1016/j.physa.2005.06.066. S2CID 16678116.
- ^ a b Westzynthius, E. (1931), "Über die Verteilung der Zahlen die zu den n ersten Primzahlen teilerfremd sind", Commentationes Physico-Mathematicae Helsingsfors (in German), 5: 1–37, JFM 57.0186.02, Zbl 0003.24601.
- ^ ATH (March 11, 2024). "Announcement at Mersenneforum.org". Mersenneforum.org. Archived from the original on March 12, 2024.
- ^ Andersen, Jens Kruse. "The Top-20 Prime Gaps". Archived from the original on December 27, 2019. Retrieved June 13, 2014.
- ^ Andersen, Jens Kruse (March 8, 2013). "A megagap with merit 25.9". primerecords.dk. Archived from the original on December 25, 2019. Retrieved September 29, 2022.
- ^ a b c Nicely, Thomas R. (2019). "NEW PRIME GAP OF MAXIMUM KNOWN MERIT". faculty.lynchburg.edu. Archived from the original on April 30, 2021. Retrieved September 29, 2022.
- ^ "Prime Gap Records". GitHub. June 11, 2022.
- ^ "Record prime gap info". ntheory.org. Archived from the original on October 13, 2016. Retrieved September 29, 2022.
- ^ Nicely, Thomas R. (2019). "TABLES OF PRIME GAPS". faculty.lynchburg.edu. Archived from the original on November 27, 2020. Retrieved September 29, 2022.
- ^ "Top 20 overall merits". Prime gap list. Archived from the original on July 27, 2022. Retrieved September 29, 2022.
- ^ Andersen, Jens Kruse. "Record prime gaps". Retrieved October 10, 2024.
- ^ Kourbatov, A.; Wolf, M. (2020). "On the first occurrences of gaps between primes in a residue class". Journal of Integer Sequences. 23 (Article 20.9.3). arXiv:2002.02115. MR 4167933. S2CID 211043720. Zbl 1444.11191. Archived from the original on April 12, 2021. Retrieved December 3, 2020.
- ^ Hoheisel, G. (1930). "Primzahlprobleme in der Analysis". Sitzunsberichte der Königlich Preussischen Akademie der Wissenschaften zu Berlin. 33: 3–11. JFM 56.0172.02.
- ^ Heilbronn, H. A. (1933). "Über den Primzahlsatz von Herrn Hoheisel". Mathematische Zeitschrift. 36 (1): 394–423. doi:10.1007/BF01188631. JFM 59.0947.01. S2CID 123216472.
- ^ Tchudakoff, N. G. (1936). "On the difference between two neighboring prime numbers". Mat. Sb. 1: 799–814. Zbl 0016.15502.
- ^ Ingham, A. E. (1937). "On the difference between consecutive primes". Quarterly Journal of Mathematics. Oxford Series. 8 (1): 255–266. Bibcode:1937QJMat...8..255I. doi:10.1093/qmath/os-8.1.255.
- ^ Cheng, Yuan-You Fu-Rui (2010). "Explicit estimate on primes between consecutive cubes". Rocky Mt. J. Math. 40: 117–153. arXiv:0810.2113. doi:10.1216/rmj-2010-40-1-117. S2CID 15502941. Zbl 1201.11111.
- ^ Huxley, M. N. (1972). "On the Difference between Consecutive Primes". Inventiones Mathematicae. 15 (2): 164–170. Bibcode:1971InMat..15..164H. doi:10.1007/BF01418933. S2CID 121217000.
- ^ Baker, R. C.; Harman, G.; Pintz, J. (2001). "The difference between consecutive primes, II" (PDF). Proceedings of the London Mathematical Society. 83 (3): 532–562. CiteSeerX 10.1.1.360.3671. doi:10.1112/plms/83.3.532. S2CID 8964027.
- ^ Goldston, Daniel A.; Pintz, János; Yıldırım, Cem Yalçin (2010). "Primes in Tuples II". Acta Mathematica. 204 (1): 1–47. arXiv:0710.2728. doi:10.1007/s11511-010-0044-9. S2CID 7993099.
- ^ Zhang, Yitang (2014). "Bounded gaps between primes". Annals of Mathematics. 179 (3): 1121–1174. doi:10.4007/annals.2014.179.3.7. MR 3171761.
- ^ a b c "Bounded gaps between primes". Polymath. Archived from the original on February 28, 2020. Retrieved July 21, 2013.
- ^ Maynard, James (January 2015). "Small gaps between primes". Annals of Mathematics. 181 (1): 383–413. arXiv:1311.4600. doi:10.4007/annals.2015.181.1.7. MR 3272929. S2CID 55175056.
- ^ D.H.J. Polymath (2014). "Variants of the Selberg sieve, and bounded intervals containing many primes". Research in the Mathematical Sciences. 1 (12). arXiv:1407.4897. doi:10.1186/s40687-014-0012-7. MR 3373710. S2CID 119699189.
- ^ Pintz, J. (1997). "Very large gaps between consecutive primes". J. Number Theory. 63 (2): 286–301. doi:10.1006/jnth.1997.2081.
- ^ Erdős, Paul; Bollobás, Béla; Thomason, Andrew, eds. (1997). Combinatorics, Geometry and Probability: A Tribute to Paul Erdős. Cambridge University Press. p. 1. ISBN 9780521584722. Archived from the original on September 29, 2022. Retrieved September 29, 2022.
- ^ Ford, Kevin; Green, Ben; Konyagin, Sergei; Tao, Terence (2016). "Large gaps between consecutive prime numbers". Ann. of Math. 183 (3): 935–974. arXiv:1408.4505. doi:10.4007/annals.2016.183.3.4. MR 3488740. S2CID 16336889.
- ^ Maynard, James (2016). "Large gaps between primes". Ann. of Math. 183 (3): 915–933. arXiv:1408.5110. doi:10.4007/annals.2016.183.3.3. MR 3488739. S2CID 119247836.
- ^ Ford, Kevin; Green, Ben; Konyagin, Sergei; Maynard, James; Tao, Terence (2018). "Long gaps between primes". J. Amer. Math. Soc. 31 (1): 65–105. arXiv:1412.5029. doi:10.1090/jams/876. MR 3718451. S2CID 14487001.
- ^ Tao, Terence (December 16, 2014). "Long gaps between primes / What's new". Archived from the original on June 9, 2019. Retrieved August 29, 2019.
- ^ Ford, Kevin; Maynard, James; Tao, Terence (October 13, 2015). "Chains of large gaps between primes". arXiv:1511.04468 [math.NT].
- ^ a b Guy (2004) §A8
- ^ Cramér, Harald (1936). "On the order of magnitude of the difference between consecutive prime numbers". Acta Arithmetica. 2: 23–46. doi:10.4064/aa-2-1-23-46.
- ^ Ingham, Albert E. (1937). "On the difference between consecutive primes" (PDF). Quarterly Journal of Mathematics. 8 (1). Oxford: 255–266. Bibcode:1937QJMat...8..255I. doi:10.1093/qmath/os-8.1.255. Archived (PDF) from the original on December 5, 2022.
- ^ Sinha, Nilotpal Kanti (2010). "On a new property of primes that leads to a generalization of Cramer's conjecture". arXiv:1010.1399 [math.NT].
- ^ Kourbatov, Alexei (2015). "Upper bounds for prime gaps related to Firoozbakht's conjecture". Journal of Integer Sequences. 18 (11) 15.11.2. arXiv:1506.03042.
- ^ Granville, Andrew (1995). "Harald Cramér and the distribution of prime numbers" (PDF). Scandinavian Actuarial Journal. 1: 12–28. CiteSeerX 10.1.1.129.6847. doi:10.1080/03461238.1995.10413946. Archived (PDF) from the original on September 23, 2015. Retrieved March 2, 2016..
- ^ Granville, Andrew (1995). "Unexpected Irregularities in the Distribution of Prime Numbers" (PDF). Proceedings of the International Congress of Mathematicians. Vol. 1. pp. 388–399. doi:10.1007/978-3-0348-9078-6_32. ISBN 978-3-0348-9897-3. Archived (PDF) from the original on May 7, 2016. Retrieved March 2, 2016..
- ^ Pintz, János (September 2007). "Cramér vs. Cramér: On Cramér's probabilistic model for primes". Functiones et Approximatio Commentarii Mathematici. 37 (2): 232–471. doi:10.7169/facm/1229619660.
- Guy, Richard K. (2004). Unsolved problems in number theory (3rd ed.). Springer-Verlag. ISBN 978-0-387-20860-2. Zbl 1058.11001.
Further reading
- Soundararajan, Kannan (2007). "Small gaps between prime numbers: the work of Goldston-Pintz-Yıldırım". Bull. Am. Math. Soc. New Series. 44 (1): 1–18. arXiv:math/0605696. doi:10.1090/s0273-0979-06-01142-6. S2CID 119611838. Zbl 1193.11086.
- Mihăilescu, Preda (June 2014). "On some conjectures in additive number theory" (PDF). EMS Newsletter (92): 13–16. doi:10.4171/NEWS. hdl:2117/17085. ISSN 1027-488X.
External links
- Thomas R. Nicely, Some Results of Computational Research in Prime Numbers – Computational Number Theory. This reference web site includes a list of all first known occurrence prime gaps.
- Weisstein, Eric W. "Prime Difference Function". MathWorld.
- "Prime Difference Function". PlanetMath.
- Armin Shams, Re-extending Chebyshev's theorem about Bertrand's conjecture, does not involve an 'arbitrarily big' constant as some other reported results.
- Chris Caldwell, Gaps Between Primes; an elementary introduction
- Andrew Granville, Primes in Intervals of Bounded Length; overview of the results obtained so far up to and including James Maynard's work of November 2013.
- Birke Heeren, [1] Here you find the large prime number gaps and a paper on how to calculate such large gaps.