Robert H. Crabtree

Robert Crabtree
Robert Crabtree in London, February 2019
Born
Robert Howard Crabtree

(1948-04-17) 17 April 1948
London, England, UK
NationalityBritish/United States
EducationBrighton College
Alma materUniversity of Oxford (BA)
University of Sussex (PhD)
Known forCrabtree's catalyst
AwardsCorday-Morgan Prize (1982)
Centenary Prize (2013)
Scientific career
FieldsOrganometallic chemistry
InstitutionsYale University
Institut de Chimie des Substances Naturelles
ThesisTransition Metal Dinitrogen Complexes Adduct Formation and Base Character (1973)
Doctoral advisorJoseph Chatt
Other academic advisorsMalcolm Green
Hugh Felkin[1]
Websitechem.yale.edu/people/robert-crabtree

Robert Howard Crabtree FRS[2] (born 17 April 1948) is a British-American chemist. He is serving as Conkey P. Whitehead Professor Emeritus of Chemistry at Yale University in the United States. He is a naturalized citizen of the United States.[3] Crabtree is particularly known for his work on "Crabtree's catalyst" for hydrogenations, and his textbook on organometallic chemistry.[4][5]

Education

Robert Howard Crabtree studied at Brighton College (1959–1966), and earned a Bachelor of Arts degree from the University of Oxford where he was a student at New College, Oxford in 1970, studying under Malcolm Green. He received his PhD from the University of Sussex in 1973, supervised by Joseph Chatt.[6]

Career

After his PhD, he was a postdoctoral researcher with Hugh Felkin at the Institut de Chimie des Substances Naturelles at Gif-sur-Yvette, near Paris. He was a postdoctoral fellow (1973–1975) and then attaché de recherche (1975–1977). At the end of that time he was chargé de recherche. In 1977 Crabtree took an assistant professorship in Inorganic Chemistry at Yale University. He served as associate professor from 1982 to 1985, and as full professor from 1985 to 2021.[7] In retirement, he now serves as an emeritus professor of chemistry.[8]

Editorial positions and published works

  • The Organometallic Chemistry of the Transition Metals (7 editions) (ISBN 978-1119465881)
  • Inorganic Chemistry Section (editor) Encyclopedia of Inorganic Chemistry (1992–1994)
  • Associate Editor of New Journal of Chemistry (1998–2003)
  • Editor-in-chief of Comprehensive Organometallic Chemistry III (2004–present)
  • Editor-in-chief of Encyclopedia of Inorganic Chemistry (2004–present)
  • Board of regional editors of Science (2006–present)
  • Chemistry of the Transition Metals (2009)
  • Handbook of Green Chemistry – Green Catalysis (2009) (co-author)

Awards and honours

Research

Hydrogenation

Robert Crabtree is renowned for his influential work on hydrogenation, particularly his contributions to the development of the Crabtree catalyst.[11] This catalyst, utilizing iridium as the active metal, displays exceptional efficiency, regio- and stereoselectivity in hydrogenation reactions. Notably, when terpinen-4-ol undergoes hydrogenation, the Crabtree catalyst exhibits a remarkable preference of 1000:1 for adding hydrogen to the substrate face containing the OH group. In contrast, the hydrogenation reaction with Palladium on carbon only achieves a selectivity ratio of 20:80. The chelation of the alcohol to the catalyst is evident from the identification of a catalyst-substrate complex involving norbornene-2-ol.[12][13]

Selective Hydrogenation of terpinen-4-ol utilizing Crabtree's Catalyst.
Stoichiometric alkane dehydrogenation of cyclooctane with tert-butylethylene as a hydrogen acceptor.

During his early research, Crabtree also focused on C–H bond activation.[14] Crabtree's groundbreaking contribution in this area was reversing the hydrogenation reactions he developed before, particularly in stoichiometric alkane dehydrogenation. He utilized tert-butylethylene as a hydrogen acceptor to facilitate the release of hydrogen during the dehydrogenation of cyclooctane, forming bound cyclooctadiene. This discovery demonstrated one of the earliest instances of intermolecular C–H activation using a homogeneous metal complex. This achievement played a significant role in his tenure award and academic success

A novel form of Hydrogen Bonding

Unconventional hydrogen bonding in transition metal hydrides complexes.

Another part of Crabtree's research centers on a novel form of hydrogen bonding that involves metal hydrides, resulting in unconventional bonding interactions.[15][16] Traditional hydrogen bonds feature a protic hydrogen donor and an electronegative acceptor, while Crabtree's discoveries include aromatic ring π electrons as weaker acceptors in X–H···π hydrogen bonds (X = N, O). Surprisingly, Crabtree also observed Y–H σ bonds (Y= B or metal) acting as acceptors, leading to X–H···H–Y structures with significantly shorter H···H distances compared to typical contacts. Known as "dihydrogen bonds," these interactions exhibit bond lengths of approximately 1.8 Å, in contrast to the regular H···H length of 2.4 Å. Crabtree's findings shed light on the diverse nature of hydrogen bonding, with implications for understanding molecular structures and designing catalysts with tailored properties.

Introduction of Mesoionic Carbenes (MICs)

C4 coordinated imidazolylidene Iridium complex in transfer hydrogenation catalysis.

Crabtree has made significant contributions to the field of carbene chemistry, particularly in the exploration of mesoionic carbenes (MICs), or so called "abnormal carbenes". These carbenes, offer advantages as ligand systems in organometallic complexes and catalytic applications. Unlike C2 coordinated imidazolylidenes, mesoionic carbenes possess only charge-separated electronic resonance structures, allowing for greater adaptability to metal centers within catalytic cycles. Crabtree has developed novel methods for generating and isolating abnormal carbenes, providing insights into their structures and stability under different conditions. Notably, he introduced the first example of an abnormal carbene complex incorporating an iridium complex with a C4 coordinated imidazolylidene, which found application in transfer hydrogenation catalysis.[17]

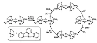
Manganese di-μ-oxo Dimers for Oxygen Evolution

Manganese di-μ-oxo dimers involved in O2-evolution as a functional model for photosynthetic water oxidation.

Crabtree's research has made significant advancements in our understanding of O–O bond formation within manganese di-μ-oxo dimers involved in oxygen evolution.[18][19] Through his investigations, he has put forward a simplified proposal for the reaction mechanism responsible for the generation of oxygen through the reaction of a manganese di-μ-oxo dimer with NaClO. The oxidation of the IV/IV dimer results in the production of a Mn(V)=O dimer. Subsequently, the formation of the O–O bond could potentially occur through a nucleophilic attack of OH– on the oxo group. Oxygen-18 isotope labeling experiments have demonstrated that the oxygen atoms in the evolved molecular oxygen originate from water. This system thus serves as a functional model for photosynthetic water oxidation.

Crabtree has made significant contributions in C–H bond activation, water oxidation, and hydrogenation. His approach entails selecting unique projects, conducting early critical experiments, transitioning between problems, developing air-stable catalysts, and educating through his writing.

References

  1. ^ "Crabtree Gives Prestigious Franco-American Chemistry Prize Lecture | Department of Chemistry".
  2. ^ a b "Robert Crabtree". royalsociety.org.
  3. ^ Yale Faculty webpage. Retrieved 21 September 2014
  4. ^ Crabtree Lab Homepage, ursula.chem.yale.edu. Retrieved 21 September 2014.
  5. ^ "The Organometallic Chemistry of the Transition Metals". Wiley Online Library. doi:10.1002/9781118788301#aboutbook-pane.
  6. ^ Crabtree, Robert Howard (1973). Transition Metal Dinitrogen Complexes Adduct Formation and Base Character (PhD thesis). University of Sussex. EThOS uk.bl.ethos.452454.
  7. ^ Dobereiner, Graham E.; Hazari, Nilay; Schley, Nathan D. (8 February 2021). "Pioneers and Influencers in Organometallic Chemistry: Professor Robert Crabtree's Storied Career via an Unusual Journey to the Ivy League". Organometallics. 40 (3): 295–301. doi:10.1021/acs.organomet.0c00797. ISSN 0276-7333. S2CID 234003600.
  8. ^ "Robert Crabtree | Department of Chemistry". chem.yale.edu. Retrieved 21 November 2021.
  9. ^ http://ursula.chem.yale.edu/~crabtree/CV_May_08.pdf Yale Faculty webpage
  10. ^ Chemical & Engineering News, 23 February 2009, "2009 ACS National Award Winners", p. 68
  11. ^ Crabtree, Robert H.; Felkin, Hugh; Morris, George E. (1 January 1976). "Activation of molecular hydrogen by cationic iridium diene complexes". Journal of the Chemical Society, Chemical Communications (18): 716–717. doi:10.1039/C39760000716. ISSN 0022-4936.
  12. ^ Crabtree, Robert H.; Davis, Mark W. (May 1983). "Occurrence and origin of a pronounced directing effect of a hydroxyl group in hydrogenation with [Ir(cod)P(C6H11)3(py)]PF6". Organometallics. 2 (5): 681–682. doi:10.1021/om00077a019. ISSN 0276-7333.
  13. ^ Crabtree, Robert H.; Davis, Mark W. (July 1986). "Directing effects in homogeneous hydrogenation with [Ir(cod)(PCy3)(py)]PF6". The Journal of Organic Chemistry. 51 (14): 2655–2661. doi:10.1021/jo00364a007. ISSN 0022-3263.
  14. ^ Burk, Mark J.; Crabtree, Robert H. (December 1987). "Selective catalytic dehydrogenation of alkanes to alkenes". Journal of the American Chemical Society. 109 (26): 8025–8032. Bibcode:1987JAChS.109.8025B. doi:10.1021/ja00260a013. ISSN 0002-7863.
  15. ^ Crabtree, Robert H. (11 December 1998). "A New Type of Hydrogen Bond". Science. 282 (5396): 2000–2001. doi:10.1126/science.282.5396.2000. ISSN 0036-8075. S2CID 93959077.
  16. ^ Klooster, Wim T.; Koetzle, Thomas F.; Siegbahn, Per E. M.; Richardson, Thomas B.; Crabtree, Robert H. (1 July 1999). "Study of the N−H···H−B Dihydrogen Bond Including the Crystal Structure of BH 3 NH 3 by Neutron Diffraction". Journal of the American Chemical Society. 121 (27): 6337–6343. Bibcode:1999JAChS.121.6337K. doi:10.1021/ja9825332. ISSN 0002-7863.
  17. ^ Gründemann, Stephan; Kovacevic, Anes; Albrecht, Martin; Robert, Jack W. Faller; Crabtree, H. (23 October 2001). "Abnormal binding in a carbene complex formed from an imidazolium salt and a metal hydride complex". Chemical Communications (21): 2274–2275. doi:10.1039/B107881J. ISSN 1364-548X. PMID 12240147.
  18. ^ Limburg, Julian; Vrettos, John S.; Liable-Sands, Louise M.; Rheingold, Arnold L.; Crabtree, Robert H.; Brudvig, Gary W. (5 March 1999). "A Functional Model for O-O Bond Formation by the O 2 -Evolving Complex in Photosystem II". Science. 283 (5407): 1524–1527. doi:10.1126/science.283.5407.1524. ISSN 0036-8075. PMID 10066173.
  19. ^ Limburg, Julian; Vrettos, John S.; Chen, Hongyu; de Paula, Julio C.; Crabtree, Robert H.; Brudvig, Gary W. (1 January 2001). "Characterization of the O 2 -Evolving Reaction Catalyzed by [(terpy)(H 2 O)Mn III (O) 2 Mn IV (OH 2 )(terpy)](NO 3 ) 3 (terpy = 2,2':6,2' '-Terpyridine)". Journal of the American Chemical Society. 123 (3): 423–430. Bibcode:2001JAChS.123..423L. doi:10.1021/ja001090a. ISSN 0002-7863. PMID 11456544.

 This article incorporates text available under the CC BY 4.0 license.