Volinanserin

Volinanserin
Clinical data
Other namesMDL-100,907; M100907
ATC code
  • None
Identifiers
  • (R)-(2,3-dimethoxyphenyl)-[1-[2-(4-fluorophenyl)ethyl]-4-piperidyl]methanol
CAS Number
PubChem CID
IUPHAR/BPS
ChemSpider
UNII
ChEMBL
CompTox Dashboard (EPA)
ECHA InfoCard100.123.797
Chemical and physical data
FormulaC22H28FNO3
Molar mass373.468 g·mol−1
3D model (JSmol)
  • c3cc(F)ccc3CCN(CC2)CCC2C(O)c(c1OC)cccc1OC

Volinanserin (INN; developmental code MDL-100,907) is a highly selective 5-HT2A receptor antagonist that is frequently used in scientific research to investigate the function of the 5-HT2A receptor.[1][2][3] It was also tested in clinical trials as a potential antipsychotic,[4][5] antidepressant,[6] and treatment for insomnia but was never marketed.[7]

CNS Review:[8]

Synthesis

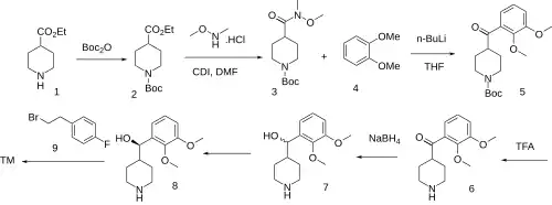
The synthesis of volinanserin has been reported.[9][10][11][12] Beginning with protection of ethyl isonipecotate (1) with Boc anhydride gives ethyl N-Boc-4-piperidinecarboxylate (2). Ester-amide interchange with N-methoxymethylamine HCl in the presence of carbonyldiimidazole (CDI) coupling agent gives 1-Boc-4-[methoxy(methyl)carbamoyl]piperidine (3). Weinreb ketone synthesis occurs upon benzoylation with 1,2-dimethoxybenzene (4) to give 1-Boc-4-(2,3-dimethoxybenzoyl)piperidine (5). Acid removal of the urethane protecting group gives (2,3-dimethoxyphenyl)-piperidin-4-ylmethanone (6). The reduction of the ketone with sodium borohydride leads to (2,3-dimethoxyphenyl)-piperidin-4-ylmethanol (7). Resolution of the alcohol gives (8). SN2 alkylation of the secondary nitrogen with 4-fluorophenethyl bromide (9) completes the synthesis of volinanserin (10).

Synthesis of volinanserin

See also

References

  1. ^ Schmidt CJ, Fadayel GM, Sullivan CK, Taylor VL (November 1992). "5-HT2 receptors exert a state-dependent regulation of dopaminergic function: studies with MDL 100,907 and the amphetamine analogue, 3,4-methylenedioxymethamphetamine". European Journal of Pharmacology. 223 (1): 65–74. doi:10.1016/0014-2999(92)90819-P. PMID 1362159.
  2. ^ Herth MM, Kramer V, Piel M, Palner M, Riss PJ, Knudsen GM, et al. (April 2009). "Synthesis and in vitro affinities of various MDL 100907 derivatives as potential 18F-radioligands for 5-HT2A receptor imaging with PET". Bioorganic & Medicinal Chemistry. 17 (8): 2989–3002. CiteSeerX 10.1.1.519.5663. doi:10.1016/j.bmc.2009.03.021. PMID 19329329.
  3. ^ Nic Dhonnchadha BA, Fox RG, Stutz SJ, Rice KC, Cunningham KA (April 2009). "Blockade of the serotonin 5-HT2A receptor suppresses cue-evoked reinstatement of cocaine-seeking behavior in a rat self-administration model". Behavioral Neuroscience. 123 (2): 382–96. doi:10.1037/a0014592. PMC 3830454. PMID 19331461.
  4. ^ Offord SJ, Wong DF, Nyberg S (August 1999). "The role of positron emission tomography in the drug development of M100907, a putative antipsychotic with a novel mechanism of action". Journal of Clinical Pharmacology. 39 (S1): 17S – 24S. doi:10.1002/j.1552-4604.1999.tb05933.x. PMID 10434243. S2CID 21311671.
  5. ^ Charney DS, Nestler PS, Sklar P, Buxbaum JD (July 2013). Neurobiology of Mental Illness. OUP USA. p. 767. ISBN 9780199934959.
  6. ^ Marek GJ, Martin-Ruiz R, Abo A, Artigas F (December 2005). "The selective 5-HT2A receptor antagonist M100907 enhances antidepressant-like behavioral effects of the SSRI fluoxetine". Neuropsychopharmacology. 30 (12): 2205–15. doi:10.1038/sj.npp.1300762. PMID 15886717.
  7. ^ Teegarden BR, Al Shamma H, Xiong Y (2008). "5-HT(2A) inverse-agonists for the treatment of insomnia". Current Topics in Medicinal Chemistry. 8 (11): 969–76. doi:10.2174/156802608784936700. PMID 18673166.
  8. ^ Schmidt, C. J., Kehne, J. H., Carr, A. A. (March 1997). "MDL 100,907: A Selective 5‐HT 2A Receptor Antagonist for the Treatment of Schizophrenia". CNS Drug Reviews. 3 (1): 49–67. doi:10.1111/j.1527-3458.1997.tb00316.x.
  9. ^ Németh K, Palkó R, Kovács P, Visy J (January 2014). "Development of novel chiral capillary electrophoresis methods for the serotonin receptor (5-HT2A) antagonist MDL 100,907 (volinanserin) and for its key intermediate compound". Journal of Pharmaceutical and Biomedical Analysis. 88: 579–583. doi:10.1016/j.jpba.2013.10.017. PMID 24216279.
  10. ^ WO 1991018602, Carr AA, Kane JM, Hay DA, "(+)-α-(2,3-Dimethoxyphenyl)-1-[2-(4-fluorophenyl)ethyl]-4-piperidinemethanol", published 12 December 1991, assigned to Merrell Dow Pharmaceuticals Inc. 
  11. ^ Huang Y, Mahmood K, Mathis CA (1999). "An efficient synthesis of the precursors of [11C]MDL 100907 labeled in two specific positions". Journal of Labelled Compounds and Radiopharmaceuticals. 42 (10): 949–957. doi:10.1002/(SICI)1099-1344(199910)42:10<949::AID-JLCR253>3.0.CO;2-S.
  12. ^ WO 1998004289, Blackburn TP, "Pharmaceutical composition containing a 5HT2c antagonist and a D2 antagonist", published 5 February 1998, assigned to SmithKline Beecham Ltd.